3.3 复合函数的求导法则
到现在为止,我们只能求一些简单函数的导数,但在实际中遇到的函数大多是复合函数,下面介绍复合函数的求导法则。
法则4 设函数 y = f ( u )在 u 点可导, u = φ ( x )在 x 点可导,则复合函数 f [ φ ( x )]在 x 点也可导,且
上述法则可以推广到有限个中间变量的情形。如 y = f ( u ), u = φ ( t ), t = s ( x ),则复合函数 y = f { φ [ s ( x )]}的导数为
例3.20 求函数 y =e x 2 的导数。
解 设 y =e u , u = x 2 ,
例3.21
设函数(1)
y
=sin
4
x
;(2)
y
=ln
x
2
;(3)
y
=log
2
cos
x
;(4)
分别求出它们的导数
y
′。
解 (1)设 y = u 4 , u =sin x ,则
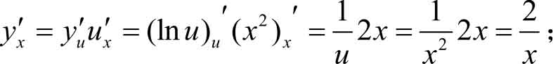
(2)设 y =ln u , u = x 2 ,则
(3)设 y =log 2 u , u =cos x ,则
(4)设
y
=
,
u
=
a
2
-x
2
,则
例3.22 求下列函数的导数。
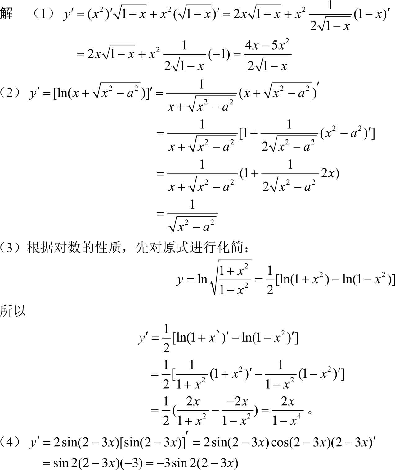
(1) y =ln sin x 3 ;(2) y =ln cos 2 x .
解 (1)设 y =ln u , u =sin v , v = x 3 则
(2)设 y =ln u , u =cos v , v =2 x ,可得
例3.23
求
的导数。
设 y = u -3 , u =1-2 x ,则
复合层次比较清楚以后,可不必设中间变量,直接由外往里,逐层求导,复合求导法则是相乘的关系。
例3.24 求函数 y =tan x 3 的导数。
例3.25
设
y
=
求
y
′。
例3.26
设
,求
y
′。
例3.27
求函数
的导数。
例3.28 求函数 y =sin 2 (cos3 x )的导数。
若函数有复合运算还有四则运算,那么求导时应遵循由外层向里,看见什么导什么,使用对应的法则。
例3.29
求函数
的导数。
例3.30 求函数 y =sin n x sin nx 的导数。
例3.31 求下列函数的导数。
分别求出它们的导数。
例3.32 (1)设 y = f (sin 2 x )+ f (cos 2 x ),其中 f ( x )可导,求 y ′;
(2)设
y
=
f
(cos
x
),
f
′(
x
)=
,求
;
(3)设函数 f ( x ) 在(-∞,+∞)上可导,且 f (2)=4, f ′(2)=3, f ′(4)=5,求函数 y = f ( f ( x ))在点 x =2处的导数。
习题3.3
1.求下列函数的导数
2.已知
f
(
x
)=
,求
。
3.已知
y
=
f
(sin
x
),
f
′(
x
)=2
x
,求
。
4.求下列函数的导数。


