会计学
总类
会计学 解释和指导会计实践的知识体系或学科。关于会计与会计学的关系,一种观点认为,会计是会计理论与会计实践,即会计学与会计工作是统一的;另一种观点则认为,会计是会计实践,即会计工作,而会计学是对会计的理论研究,两者有着密切的联系,但不是同一个事物。
权益理论 会计理论体系中解释会计个体权益性质的学说。通常认为,权益理论既体现了对权益性质的不同认识,又影响着资本和利润概念的界定,进而导致会计工作侧重点的差异。有两种权益理论,即业主权论和营业个体论,对现代会计思想和实务产生了重要影响。
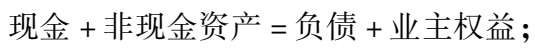
业主权论 权益理论之一。产生于 18世纪。对独资、合伙企业的会计产生了重大影响。业主权论是立足企业所有者或业主的立场观察企业,即对企业的财富和经济活动均按其与企业所有者的关系加以分析。资产负债表等式为: 资产-负债=业主权益 。式中,资产是业主所拥有的财产,负债是业主所承担的义务。认为会计工作的侧重点在于对资产和负债的计量,以正确反映业主财富或权益的增减变动。因此,资产负债表是最重要的会计报表。
营业个体论 亦称“会计个体论”、“实体论”。权益理论之一。产生于 19 世纪下半叶,源于公司组织形式的兴起。强调企业与其所有者或业主的分离,认为企业是一个独立的经营个体或经济实体。该理论侧重于企业本身的结构,企业所有者与债权人的关系,以及资本和利润的特征。企业的资本来自股东和债权人。因此,资产负债表等式为: 资产 = 权益 = 负 债 + 股东权益 。认为创造利润是企业的首要目标,会计工作的侧重点在于确定可供股东分配的利润,以防止债权人利益的侵犯。因此,损益表成为最重要的会计报表。
会计个体论 即“营业个体论”。
会计 以提供财务信息为主的经济信息系统。对会计的定义还有下列几种:(1)艺术论强调会计对主观判断的依赖;(2)管理工具论把会计视为管理经济的工具;(3)管理活动论认为会计是收集、分类、综合和计划经济业务,传输财务和成本资料,分析利弊得失以求提高经济效益的管理活动。我国古时就有“会计”一词。从周代开始,设置官吏为国家掌管财物赋税,进行“月计岁会”(焦循《孟子正义》:“零星算之为计,总合算之为会”)。宋代开始,官吏办理钱粮移交时,编造四柱清册,逐渐发展,形成我国传统的中式簿记。习惯上,对于担任会计工作的人也简称为“会计”。
会计职能 会计作为一种特定的活动客观上所能发生的功用。会计基本理论的一个命题。我国会计学者对会计职能的认识主要有两种:(1)二职能论,即认为会计的职能一为反映,二为监督;(2)三职能论,即在反映和监督职能之外,会计还有参与决策的职能。
会计职业 广义指整个会计行业。狭义指具备职业资格的会计师群体,如特许会计师,注册会计师等。资本市场是会计职业的催化剂。
会计文化 广义指人类在社会历史发展过程中所创造的与会计相关的物质与精神财富的总和。包括会计物质文化、会计制度文化、会计精神文化等。狭义指与会计相关的社会意识形态以及与之相适应的制度和组织机构。荷兰学者霍夫斯蒂德(Geert Hofstede,1928— )认为,对一个国家文化特征的把握,可以从四个方面入手:(1)个人主义与集体主义;(2)权距大与小;(3)对不确定性的偏好与规避;(4)阳刚与阴柔之气。基于霍夫斯蒂德的文化四要素,英国学者格雷(Gray)构建了连接文化与会计的理论框架。他把影响一个国家会计实务的因素分为四个方面:(1)专业主义与法律控制;(2)统一性与灵活性;(3)稳健主义与乐观主义;(4)保密性与透明度。会计文化是国家与国家之间(甚至企业与企业之间)会计差异的一个深层次原因。
会计职业判断 会计师根据专业知识和经验,对会计处理涉及的原则、程序和方法所作的适时、适地的决策。会计须臾离不开职业判断。但作为一种主观活动,职业判断也不能超越客观环境的限定,如会计法规、准则、制度等的约束。根据国际会计师联合会的表述,职业判断对财务报告的影响主要集中在四个方面:(1)对经济业务的计量,如担保、坏账费用的计提;(2)对会计政策的选择,如存货计价方法;(3)对披露方式和内容的定夺,如或有负债;(4)对持续经营能力的辨别。
会计职业道德 会计职业组织或其他监管机构制定的会计师执业行为规范。主要包括职业品德,专业胜任,对委托人、同业和社会的责任等。会计职业组织制定的职业道德比较完整,但只对职业组织的会员具有约束力。政府监管机构制定的职业道德比较零散,只对从事特定业务的会计师具有约束力。
会计监管 亦称“会计管制”。泛指一国对会计实务监督与管理的制度安排。包括法律、行政、职业和道德等监管形式。通常有两种监管模式:政府监管和职业自律。我国侧重政府监管,英美等国则以职业自律为主,并从 20 世纪 70 年代起尝试“独立监管”,即介于政府监管和职业自律之间的一种新的制度安排。
会计管制 即“会计监管”。
会计职业自律 会计监管的一种传统模式。指会计职业的自我约束与自我管理。具体而言,就是以法律和行政授权的形式,让会计职业组织从事执业资格的认证,会计、审计准则和职业道德的制定,以及各种违规的调查与处罚。职业自律强调的是会计的技术性和监管的效率性,其弊端是职业利益的狭隘性。
会计独立监管 一种新的会计监管模式。起源于 20 世纪 70 年代的美国。“独立”是指不受会计职业的控制。它是对会计职业自律的一种否定,因为会计职业自律的相对狭隘难以适应资本市场的日益扩大。但会计独立监管也不是政府监管,因为后者会增加纳税人的税赋,而且存在官僚低效的弊端。故它是介于政府监管和会计职业自律之间一种新的会计监管。
会计师事务所 以注册会计师为主体的会计中介机构。受当事人委托承办审计、会计咨询、税务等方面的业务。其中审计为其传统和法定业务。根据我国1993 年颁布的注册会计师法的规定,会计师事务所可以采用合伙制和有限责任制两种组织形式。采用合伙制的,合伙人对会计师事务所的债务承担连带责任;采用有限责任制的,会计师事务所以其全部资产对其债务承担责任。
会计规范 会计法规、准则和制度的总称。狭义仅指会计、审计准则等技术规范;广义还包括会计职业道德。
非营利组织会计 政府机构和其他不以营利为主要目的的组织(如学校、医院、科研机构、图书馆和慈善机构等)建立的会计信息系统。在我国,分为财政总预算会计、行政单位会计和事业单位会计三部分。
税赋会计 亦称“税务会计”、“税收会计”。旨在确定公司应税收益和纳税抵扣的会计。财务会计的一个延伸。其基本公式为:
税收法规是应税收益和纳税抵扣的计算依据。而财务会计的损益公式为:
会计准则是收入和费用的计算标准。鉴于两种会计在众多项目上的一致,税赋会计通常是在财务会计的基础上进行调整。
税务会计 即“税赋会计”。
税收会计 即“税赋会计”。
国际会计 泛指因从事跨国经营活动或筹资活动而展开的企业会计。财务会计的一个延伸。早期,国际会计主要探讨所有国家的会计原则和方法,并加以比较,以便在跨国经营中知己知彼,即会计协调。它有三个混用的概念,包括“跨国会计”、“多国会计”和“全球会计”。另外,由于理解的不同,国际会计还有两个相近的概念。“世界会计”即设想在全世界推广统一的会计。“国外附属公司会计”主要探讨母公司与其国外子公司之间的特殊会计问题。
跨国会计 见“国际会计”。
全球会计 见“国际会计”。
世界会计 见“国际会计”。
会计模式 对已定型的会计实务的概括和描述。通常按各国(地区)会计实务的基本特征进行划分。它不排除属于同一模式的各国(地区)在会计实务中存在某些非基本的差异。有学者把西方市场经济国家的会计实务概括为四种模式,即宏观经济模式、微观经济模式、独立范畴趋向和统一会计趋向。
通货膨胀会计 亦称“物价变动会计”。泛指为消除通货膨胀的影响或为如实反映通货膨胀的影响而采取的会计方法和程序。是对传统的会计计量模式的一种修正,特别是对整个会计模式(包括财务报表)或对财务报表的改革和改革设想。传统会计不考虑币值变动,即假设币值本身不变。通货膨胀产生了对历史成本原则进行修正和改革的必要。
物价变动会计 即“通货膨胀会计”。
法务会计 运用相关的会计知识与法律知识,对财务事项中有关法律问题进行解释与处理,并为法庭提供相关财务证据(包括刑事和民事两个方面)的一项特殊会计。财务会计的一个延伸。20 世纪 90年代末产生于欧美各国,是会计应对法制化社会挑战的产物。
规范会计 “实证会计”的对称。一种会计理论和研究方法。运用演绎的方法,提出各种会计程序和方法的期望目标,以及达到目标的具体政策和实施步骤。规范研究回答“应该是什么”的问题,旨在规范会计实务。相对于实证会计研究,规范会计研究更重视哲学性。
实证会计 “规范会计”的对称。一种会计理论和研究方法。起源于 20 世纪 60年代的美国,主要受到经济理论和财务理论的影响。实证研究回答“实际是什么”的问题,旨在解释和预测会计实务。相对于规范会计研究,实证会计研究更重视科学性。广义的实证会计研究也称为“经验会计研究”,主要包括实验室研究、实地试验、实地研究或案例研究、调查研究和档案研究五种方法;狭义的实证会计研究多指档案研究。
财务会计
财务会计 以企业会计准则为主要依据,对企业发生的经济业务,通过确认、计量、记录和报告等主要程序进行加工处理,向企业的利益攸关方提供以财务信息为主的经济信息的经营管理活动。会计分支之一。财务信息的主要使用者包括股东、债权人、管理层及政府监管部门等。因为财务会计主要用于满足企业的理财需要,故又称“理财会计”。财务会计历来是会计的主要内容,是会计的基础,有人也称之为“传统会计”。
理财会计 见“财务会计”。
会计目标 为各种会计信息使用者提供不同需求的会计信息。是建立会计实务和会计理论的基础。西方会计界(以美国为代表)从 20 世纪 60 年代开始探讨,逐渐将其视为会计理论研究的起点,并体现在美国财务会计概念框架中。70 年代后,美国会计界关于会计目标的研究,形成了两个流派,即受托责任学派和决策有用学派。
会计假设 特定经济环境(也包括政治、法律、社会等因素)下,决定会计运行和发展的基本前提和制约条件。最基本的会计假设可以归纳为:(1)会计主体;(2)持续经营;(3)会计分期;(4)货币计量。会计假设的有效性众所周知、毋庸置疑,但又无法予以证明。假设所代表的前提和制约条件具有客观性。但是人们对这些前提和条件的认识亦离不开主观判断。因此学术界对会计假设所包含的内容存有分歧,例如,有学者把“配比”也作为会计假设。
会计主体 会计的基本假设之一。是对会计活动的空间界定。会计主体假设要求:会计所提供的信息只能反映特定主体的财务状况和经营业绩(或经济效益)。它既不应同其他的主体相混淆,也要同主体所有者的资产、负债或其他经济问题相区分。实践中,会计报表还有子公司报表和集团公司的合并报表之分。
持续经营 亦称“继续经营”。会计的基本假设之一。是对会计正常活动所作的时间设定。因会计信息系统的运行是以会计主体继续存在,并从事既定的经营活动为前提,就是说,除非有充分的相反证明,否则便认为特定会计主体可以无限期地持续经营下去。现实中,商品经济充满了竞争和不确定性。当会计主体需要停业清理甚至破产清算时,会计信息系统就要作立足点的变更,即从“持续经营”转为“停业清算”。
会计分期 会计的基本假设之一。是“持续经营”假设的一个必要补充。一方面会计把企业的经营活动视为一条永无间歇的“长河”;另一方面会计又把这一“长河”人为地“隔断”,以测定其流量,即定期的财务报告。会计期间有年、季、月之分,其中以年度报告最为重要。我国的计划年度和财政年度均采用历年制,所以,会计年度也采用历年制。在西方国家,会计年度一般由企业自行确定,既可以采用历年制,也可以选择其他的起止时间,如4月1日至次年3月 31 日。
货币计量 会计的基本假设之一。会计信息系统所提供的信息是能够用货币进行计量的财务信息。把货币确定为会计的基本计量单位是由商品经济的性质所决定的。但这一选择是以作为计量单位的币值保持稳定为前提。就是说,“货币计量”隐含着“币值稳定”的假设。货币的购买力的较大变动直接冲击“币值稳定”假设,从而间接动摇“货币计量”这一会计基础。对这一会计假设的变更产生了“通货膨胀会计”。
会计原则 会计工作的指导性规范。对财务会计基本规律的概括与总结。比如稳健性原则、重要性原则等。实际工作中,会计原则(Accounting Principles)常与会计准则(Accounting Standards)相混用。美国先使用“会计原则”,后流行“会计准则”。这在一定程度上反映了历史发展的客观过程,即美国的会计规范经历了从“有限的、指导性”的规范(会计原则)发展成“数量可观的指导性和技术性并重”的规范(会计准则)。
公认会计原则 简称“会计原则”。该词最早出现于 20 世纪 30 年代的美国。它是美国注册会计师协会所属的一个委员会同纽约证券交易所合作,以规范上市公司财务报告而产生的一个概念。
会计准则 会计工作的技术性规范。会计实践的经验概括与总结。它界定会计信息的质量要求;反映会计计量的规范体系;提出经济业务的处理方法。关于会计准则与会计原则的关系,有人认为两者有别,也有人认为它们含义相同,以不加区别为好。
会计制度 在会计准则指导下制定的会计工作规则、方法和程序的总称。包括会计凭证及其处理手续、账户及其使用说明、记账方法和报表编送程序、成本计算方法、会计档案的保管和处理方法、会计人员的职责范围等方面的内容。会计制度体现会计准则。两者的区别表现在它们的外延不尽相同。
会计概念框架 会计准则制定机构制定的、用于指导其准则制定工作的概念公告之总称。1978 年起,美国的财务会计准则委员会(FASB)先后发布了7个《财务会计概念公告》。这些公告本身并不构成会计准则,它们的作用是为准则的制定提供一种系统的理论支持。 FASB的财务会计概念框架对各国产生了广泛的影响。
会计协调 将不同国家的会计实务整合到一个有序的框架之中,并产生协同效果的过程。它产生的根源在于全球经济的一体化,尤其是资本的跨国界流动。一般认为,加拿大、英国和美国于 1966 年成立的会计国际研究小组是会计协调的发端。有学者把协调看作是一个过程,即通过对会计实务的差异程度进行限制,以达到求同存异、提高可比性的目的。与“标准化”不同,协调意味着不同观点的调和。会计协调有区域协调与全球协调之分:前者以欧盟的会计协调为典型;后者以国际会计准则委员会的协调为代表。20 世纪90 年代下半叶起,国际会计准则委员会的工作出现了向会计“标准化”转化的趋势。
真实与公允 源于普通法系国家的具有统驭性的会计原则。根据会计文献,“真实与公允”的一个比较通俗的含义是:公平地提供信息,即不偏袒任何特定的信息使用者;客观的反映经济实质而不拘泥于法律形式。其中,第二层含义最为重要,即“实质重于形式”。“真实与公允”的法律形式最早出现于 1947 年的英国公司法。虽然其后的公司法一直沿用了这一概念,但从未对之定义,原因是法律上已确立了“衡平”概念。与普通法系国家不同,民法法系国家则长期流行“形式胜于实质”理念。
实质重于形式 体现“真实与公允”的一个会计原则。要求会计应注重经济业务的实质,而不拘泥于法律条文。融资租赁的会计核算就是遵循这一原则的典型。旨在防止法律条文的滥用。
稳健原则 例外情况下的会计计量惯例。根据这一原则,在不确定的情况下会计应低报资产、高报负债,加速损失的确认、推后收入的确认;反之,则会增加企业的风险。
假账 “虚假会计信息”的俗称。一般泛指违反会计法律、法规、准则和制度而生成的会计信息。假账是一种社会现象,其滋生主要源于利益驱动,因为会计信息直接或间接地与经理和会计师的个人利益相关。假账的手段通常是虚增资产和隐匿负债,多报收益和少列费用。特定年份的假账也会反向。在很多情况下,假账是对“权责发生制”的滥用,即人为地操纵年与年之间的收益和费用。
虚假会计信息 即俗称“假账”。
收益平滑 泛指企业利用各种手段在会计报告期之间人为地调节收益。常见的假账之一。具体而言,就是在“丰年”少报收益,以防“灾年”收益滑坡,即“以丰补歉”。这种做法歪曲了企业的经营业绩。
秘密准备 人为地将资产负债表中的资产低报或负债高报,从而虚减损益表中的收益。收益平滑的手段之一。旨在为以后各期收益的虚增埋下伏笔。
洗大澡 亦称“巨额注销”。企业在特定年份对损失或费用的过度确认。收益平滑的手段之一。有两种可能性:一是对以前年份收益高报的回转;二是对未来年份收益高报的准备。“重组费用”是洗大澡的一个常用项目。
巨额注销 即“洗大澡”。
重组费用 企业损益表中的一个费用或损失项目。在经营过程中,企业需要进行审时度势的重组,由此会发生诸如关停工厂、裁减员工以及其他的重组费用。实践中,企业往往会在重组计划实施之前就开始预提重组费用。重组费用的计提存在较大的主观性。
报表粉饰 简称“粉饰”。泛指企业旨在美化财务报表的各种活动。假账的形式之一。包括会计方法的选择、职业判断的运用、会计估计的定夺以及经营决策的利用。
会计披露 简称“披露”。通过财务报表、报表附注或审计报告等方式向使用者提供相关的会计信息。通常有强制披露和自愿披露之别。
审计独立 亦称“审计独立性”。审计作为一种以监督、评价和鉴证为职能的经济活动所应具备的中立和超然。审计的基本特征或要求。没有审计独立,审计的实质便不复存在。由于独立性的规范主要针对外部审计,故也称之为“独立审计”。美国 1933 年颁布的《证券法》第一次把独立审计写入法律。独立性是会计职业道德之核心。审计独立有“实质独立”和“形式独立”之分。
审计形式独立 “审计实质独立”的对称。审计独立的一种。审计师在社会公众面前具有的独立身份或独立性。是审计独立性的“外延”,是对“审计实质独立”的一种外在保证。要求审计师必须与客户没有任何特殊的利益关系,但只要审计师同审计客户之间存在财务利益或任用关系,那么审计师就“丧失独立性”,而不论该财务利益或任用关系是否真正影响了审计决策。另外,财务利益和任用关系包括直接和间接两种。因此,审计形式独立的界定是审计独立性规范的核心。
审计实质独立 “审计形式独立”的对称。审计独立的一种。审计师的客观性和超越个人利益的品格。审计独立的内涵和本质要求。就审计独立性而言,审计实质独立最为重要。由于审计实质独立是指一种心理状态和人格品质,所以无法予以客观界定,即缺乏可规范性。由此,会计法规、审计准则和职业道德主要集中于审计形式独立。
会计惯例 会计实践中曾经施行并成为习惯的通行做法。有行业惯例、国别惯例和国际惯例之分。其具有以下特点:(1)通用性,即特定行业、国家或大多数国家普遍适用;(2)效益性,即依此惯例行事的效益是公认的,不依此惯例行事则少效益或无效益;(3)稳定性,即不受政策调整和经济周期波动的影响;(4)准法律性,即会计惯例虽不是法律但受到各国的法律保护,具有一定的法律约束力;(5)重复性,即具有重复多次的运行作用。
会计循环 从填制会计凭证到期末编制会计报表的会计工作全过程。包括凭证、分录、记账、试算、调整、结账和编表等一系列会计程序。始于会计期期初,终于会计期期末;循环往复,周而复始。若会计期为一年,则会计循环历时一年;倘会计期为一月,则会计循环历时一月。
会计政策 通常指企业在财务报告中对允许选择的报告方法、计量系统和披露技术所作的决定。例如,存货计价在先进先出法、后进先出法和平均法之间的选择。由于会计政策直接影响企业的财务报表,企业必须在财务报告附注中对重要会计政策及其变更予以披露和说明。
会计估计 会计师对不确定的交易或事项按照目前可获得的信息所作出的判断。企业的经营活动充满着不确定性,因此,有些会计报表项目的计量难以客观、准确,而只能依靠会计师的职业判断,例如,应收账款核算中对坏账损失的估计;固定资产核算中对机器设备等资产使用年限的估计,等等。但会计估计并非完全主观,它是以最近可获得的信息为依据的。通常,公司须在财务报告中披露重要的会计估计及会计估计的变更。
出纳 “出”即支出,“纳”即收入。出纳有两种涵义,即出纳工作和出纳人员。出纳工作是管理货币资金、票据、有价证券收付的工作。出纳人员广义的既包括会计部门的出纳工作人员,也包括业务部门的各类收款员(收银员);狭义的仅指会计部门的出纳人员。
会计方程式 亦称“会计平衡式”、“会计等式”。反映会计要素之间基本关系的公式,即资产=负债+股东权益。以此公式为基础,还可以作进一步的推导。
会计平衡式 即“会计方程式”。
会计等式 即“会计方程式”。
试算 会计期末记账完毕后,为编制财务报表所作的准备,即通过试算表的编制,验证分录与记账工作是否有误的过程。试算不平说明分录和记账有误;但试算平衡并不保证分录和记账的无误。
簿记 分析和记录经济业务的方法体系。从一定意义上讲,簿记是会计的雏形和基础。不论是内涵还是外延,簿记都较会计为窄。
复式簿记 “单式簿记”的对称。采用复式记账的簿记。所谓复式记账,是会计工作中对每一项经济业务按相等金额在两个或两个以上有关账户相互对应地同时进行登记的记账方法。12—15 世纪产生于意大利,最早流行于佛罗伦萨,后盛行于威尼斯。当时被称为“意式借贷记账法”或“意大利簿记”。随着世界贸易中心的转移,18 世纪的英国在“意大利簿记”的基础上建立了所谓的“英式簿记”。之后,“复式簿记”才成为一个术语开始流行。我国于清末引进复式簿记。作为现代会计的基础,复式簿记的科学原理不仅适用于手工会计数据处理,而且适用于计算机会计数据处理。
单式簿记 “复式簿记”的对称。采用单式记账的簿记。所谓单式记账,是会计工作中除了人欠、欠人的现金收付业务,对发生的经济业务一般只在一个账户中予以登记,即以现金为主体的登记。单式记账法是一种比较简单的、不完备的记账方法。
借贷记账法 以“借”、“贷”为记账符号的复式记账方法。源于 12—15 世纪的意大利。后流传全球,成为各国普遍使用的记账方法。借贷记账法中的“借”和“贷”同具有“增加”和“减少”的两重含义,其具体的确定取决于账户的性质。它的记账规则是“有借必有贷,借贷必相等”。由此,每个会计期间的“借”方总额,必然等于“贷”方总额,进而为会计稽核提供了便利。
增减记账法 以“增”、“减”为记账符号的复式记账方法。其记账规则是“同类业务,有增有减;异类业务,同增同减”。我国于 20 世纪 60 年代开始在商业企业中使用,后推广至其他行业。现已停止使用。就科学、严谨性而言,增减记账法不及借贷记账法。
成本 取得资财的代价或对象化的费用。取得固定资产所花的支出形成的是固定资产成本,而不叫固定资产费用。固定资产因使用或随着时间消逝而发生的价值损耗,即资财的耗费,构成固定资产的折旧费。所以,已消逝的成本为资财的耗费,构成费用。成本的重要意义在于它是价值补偿的尺度。生产和销售产品的成本要从产品销售收入中得到补偿。产品的价值通过销售收回,其中扣除成本后的剩余部分形成产品销售利润。成本大于销售收入,价值补偿不足,就是亏损。成本还是制定价格的重要依据。
历史成本 亦称“原始成本”。经济业务发生时取得资财的代价或对象化的费用。具有较高的客观性,但对决策的相关性较低。因为它会随着时间的推移而陈旧、过时。在通货膨胀的情况下,这一问题尤为严重。
原始成本 即“历史成本”。
会计科目 简称“科目”。对会计要素进行分类核算的项目。会计科目同账户之间既有联系又有区别。会计科目就是账户名称,而账户除名称外还有一定的格式和结构;会计科目只反映会计要素的具体内容,而账户还可以反映会计要素的增减变动及其结果。但是,实务中两者经常混用。会计科目有“总账科目”(也称“一级科目”)和“明细科目”(也称“二级科目”)之别。前者统驭后者,后者细化前者。两者的有机结合可以满足信息使用的不同需要。
账户 对会计要素进行分类核算的工具。具有一定的格式和结构,能分类反映会计要素增减变动的情况及结果。通过设置账户,会计才能对纷繁复杂的经济业务进行分门别类的核算,进而提供财务信息。与“会计科目”相同,账户也有级次的划分。
实账户 亦称“永久性账户”。“虚账户”的对称。期末一般应有余额的账户。通常,属于资产负债表的资产、负债和权益三类账户均有期末余额,所以实账户又称为“资产负债表账户”。
永久性账户 即“实账户”。
资产负债表账户 即“实账户”。
虚账户 亦称“临时性账户”。“实账户”的对称。期末一般应当结清的账户。通常,属于损益表的收入、费用账户均需期末结清,所以虚账户又称为“损益表账户”。
临时性账户 即“虚账户”。
损益表账户 即“虚账户”。
备抵账户 特定账户的抵减账户。有资产备抵账户和负债备抵账户之分。例如,“累计折旧”是“长期有形资产”或“固定资产”的备抵账户。备抵账户同其依附的账户性质相同但结构相反。在资产负债表上,特定账户的余额减去其备抵账户的余额,就是该特定项目的净额。备抵账户的使用可以增加财务报表的信息量。例如,用“累计折旧”与“长期有形资产”或“固定资产”相对比,可以一般地判断长期有形资产或固定资产的新旧程度。
会计分录 亦称“记账公式”。简称“分录”。根据复式记账的原理,对每项经济业务列出其应记账户的名称及记账方向(“借”方或“贷”方)和金额的记录。会计分录的编制为登记账簿提供便利,同时也为审计提供依据。
记账公式 即“会计分录”。
结账 一定时期结束时(如月、季、年)对账簿进行的阶段性总结。包括结算出“本期发生额”和“期末余额”,并结转至有关账户或下一会计期间。结账是编制财务报表的一项重要内容。
对账 对账簿记录进行的核对。主要包括:(1)账证核对,即账簿记录与其所依据的记账凭证和原始凭证的核对;(2)账账核对,即账簿与账簿之间相关记录的核对;(3)账实核对,即账簿记录与资产或负债实存数的核对。对账是结账之前的一项重要工作,其目的是保证会计信息的真实性。
会计凭证 用来接收、记录经济业务发生的全部数据,以便明确经济责任,并作为登记账簿的依据。有原始凭证与记账凭证之分。为保证会计信息的客观性、真实性和可稽核性,一切会计凭证都必须经有关人员审核无误,通过会计确认,然后方可据以登记账簿、编制财务报表。
原始凭证 在经济业务发生时取得或填制的凭证。会计凭证之一。依据来源的不同,有自制原始凭证和外来原始凭证之分。原始凭证既是经济业务的证明文件,又是账簿记录的初始依据。
记账凭证 亦称“凭单”。会计部门根据原始凭证编制的、用以直接登记账簿的凭证。会计凭证之一。在实际工作中,记账凭证经常被分为收款凭证、付款凭证和转账凭证。
会计要素 会计报表的元素,即会计报表通常所含有的大类项目。最基本的会计要素是:资产、负债、股东权益、收入和费用。前三个为资产负债表要素;后二个是损益表要素。理论界在会计要素的细分上存有分歧。
资产 会计要素之一。会计个体由于过去的交易或事项而已经取得或实际支配,能带来未来经济利益的一切经济资源。可按不同的标准分类,例如,按有无实物形态,资产可分为有形资产和无形资产;依周转时间的长短,资产可分为固定资产和流动资产;等等。
固定资产 “流动资产”的对称。企业经营过程中使用的长期资产。包括土地、建筑物、机器和设备等。我国土地归国家所有,企业所购置的土地仅为使用权,所以一般列为无形资产。通常,“长期”是指超过一年或一个经营周期,两者择长而定。
流动资产 “固定资产”的对称。企业经营过程中使用的短期资产。包括现金、短期投资、应收账款和存货等。通常,“短期”是指不超过一年或一个经营周期,两者择长而定。
负债 会计要素之一。指会计个体由于过去的交易或事项而承诺的义务。该义务要在将来某个确定的日期,以支付现金、提供商品或劳务或让渡其他资产来清偿。通常,一年内到期的债务叫作短期负债或流动负债;而到期日长于一年的则为长期负债或非流动负债。
短期负债 参见“负债”。
流动负债 参见“负债”。
长期负债 参见“负债”。
非流动负债 参见“负债”。
股东权益 亦称“业主权益”、“所有者权益”、“净权益”。会计要素之一。表示股东享有的公司财产权。主要有两项内容:投入资本和留存收益。股东权益等于企业的净资产。
业主权益 即“股东权益”。
所有者权益 即“股东权益”。由于所有制的原因,我国常使用“所有者权益”一词来表示股东权益。
净资产 资产总额与负债总额之差。企业的净资产等于它的股东权益。
收入 “支出”的对称。会计要素之一。资财的流入或债务的消失。在企业会计中,主要指在生产经营过程中形成的资财流入或债务的消失,又称为“营业收入”。除营业收入外,企业还会因其他业务活动或偶发性事项获得其他收入。事业或其他单位的收入称为“业务收入”。收入概念并不局限于企业、事业单位,如国家财政有预算收入。收入还指个人所得,如工资收入、储蓄利息收入和其他报酬收入。
费用 会计要素之一。指资财的耗费。会计中通常是指以货币单位计算的消耗量。现实生活中,不仅企业和其他进行正规会计的单位会发生费用,个人也经常会发生费用。费用的名称一般说明资财耗费的经济内容,例如工资费用、材料费用、房租费用、交通费用等。在企业中,费用是一定期间内由于生产和销售产品、提供劳务,或从事其他经济业务而发生的现金流出、其他资财的耗费或负债的承诺。费用一般有支出相伴随,但费用确认的时间与支出发生的时间不尽一致。
销货成本 已售存货的采购或生产成本。在零售企业,是指存货的采购成本;在制造企业,包括直接材料、直接人工和车间经费。
期间费用 同特定期间相联系的生产耗费。期间费用的发生与时间(而不是产品)有直接的依存关系,如企业管理人员的工资、照明用电等。通常,它包括管理费用、销售费用和财务费用。
支出 “收入”的对称。资财的流出。在企业会计中,一般指企业在生产经营过程中为获得资财、清偿债务或因发生耗费而流出的资财。费用一般有支出相伴,但支出不一定构成费用。有些支出是经营过程中的资财耗费,支出即成为费用;有些支出会同时产生资财流入而形成资产,支出时不构成费用。与收入概念相同,支出概念并不局限于企业、事业单位,国家财政有预算支出。支出还指个人的开支。
收入确认 营业收入的确定。按会计分期的假设,对特定营业收入判明其实现的具体会计期间。企业产品(商品或劳务)转化为现金(或新资产)的流入构成营业收入。它是企业一系列持续的生产经营活动的综合结果。
权责发生制 亦称“应计制”。“收付实现制”的对称。按商品的销售(或交付)和劳务的提供来确认收入,而不考虑现金的收取时间的会计核算制度。配比是权责发生制会计之核心。它是企业会计中普遍使用的核算制度。
应计制 即“权责发生制”。
收付实现制 亦称“现金收付制”、“现金制”。“权责发生制”的对称。按现金的收取时间来确认收入,而不考虑商品的销售(或交付)和劳务的提供的会计核算制度。其具有简化核算的优点,但却违背了配比原则。通常,它的使用局限于营业活动极其简单、经营活动无需大额的事先投入,且不存在非现金交易的企业。
现金收付制 即“收付实现制”。
现金制 即“收付实现制”。
配比 企业营业与相应耗费的配合对比。某期所耗用的商品和劳务(即成本或费用)都和同期所获得的营业收入有关。某类营业或非营业收入,以及某种或某系列产品或业务的营业收入,也同相应的成本或费用有关,因此,它们之间可以相互配合,作出有意义的比较。成本或费用同营业收入的配比也就是投入与产出的配比。就会计期间来说,配比使定期计算企业的经营成果成为可能。它是“权责发生制”会计的核心。就加强企业内部管理而论,配比为实行责任会计奠定了基础。
收益 即“利润”。“亏损”的对称。企业某一报告期的纯收入,即营业收入扣减相应的费用、成本后的余额,加上其他收支、前期调整项目之和。会计学中计量收益有两种观点:(1)只包括本期的经营活动;(2)除本期的经营活动外,还包括非经营性项目,以及前期调整因素。会计的具体计量依所持观点的不同而各异。
利润 即“收益”。
损失 丧失资财而得不到或无望得到相应的补偿。损失有时以支出的形式出现,但也可能是直接的资财丧失,而不通过支出。损失与成本、费用不同,因为后者是有意识的耗费,是为了进行具有一定目的的生产经营活动,并企望从相应换取的收入中得到补偿而发生的。损失的发生是违反经营者意愿的。经营者总是力图避免损失的发生,或把它缩减到最低限度。这时,损失就同“亏损”一词同义。
亏损 “收益(利润)”的对称。亏损与“收益”或“利润”一样,也是一个差额概念,但性质恰好相反。亏损是负差额,而“收益”或“利润”则为正差额。
财务报表 亦称“会计报表”。对企业财务状况和经营业绩进行阶段性总结时编制的表格。企业的财务报表主要有资产负债表、损益表、现金流量表和股东权益变动表。按照时间的长短,财务报表有年报、季报和月报之分。
会计报表 即“财务报表”。
财务报表附注 旨在帮助财务报表使用者深入了解基本财务报表的内容,财务报表制作者对资产负债表、损益表和现金流量表的有关内容和项目所作的说明和解释。财务报表附注中的内容非常重要,主要包括:企业所采用的主要会计处理方法;会计处理方法的变更情况、变更的原因及对财务状况和经营业绩的影响;发生的非经常性项目;一些重要报表项目的明显情况;或有事项;期后事项;以及其他对理解和分析财务报表重要的信息。
资产负债表 我国习称为“平衡表”。反映企业特定日期财务状况的会计报表。企业主要财务报表之一。表明企业在某一特定日期所拥有或控制的经济资源、所承担的现有义务和所有者对净资产的要求权。有“账户式”和“报告式”两种格式。账户式又称“平衡式”,其结构是:左方列示资产,右方列示负债和股东权益。我国习惯用账户式。报告式又称“垂直式”,它是将资产、负债和所有者权益自上而下排列。
平衡表 见“资产负债表”。
损益表 亦称“收益表”。我国习称为“利润表”。反映企业一定时期经营业绩的会计报表。企业主要财务报表之一。有“单步式”和“多步式”两种格式。前者是先列示全部的收入项目,然后减去所有的费用项目,最后计算出净收益。后者则包含中间的计算环节,如毛利、营业收益、非营业收益等。
收益表 即“损益表”。
利润表 见“损益表”。
营业收益 亦称“营业利润”。企业从生产经营活动中赚取的收益。其计算公式为:
营业利润 即“营业收益”。
总收益 亦称“利润总额”。企业赚取的全部收益之和。其计算公式为:
利润总额 即“总收益”。
净收益 亦称“净利润”、“税后利润”。企业被扣除所得税后得到的利润。表示企业一定时期的最终财务成果。
净利润 即“净收益”。
税后利润 即“净收益”。
综合收益 亦称“全面收益”。“净收益”的一个派生概念。美国的会计准则要求企业在财务报告中同时提供综合收益数据。通常,损益表反映会计主体在特定期间的经营业绩,其中“净收益”是损益表的一个综合指标。一方面,净收益包括了一些“未实现利得或损失”,如存货减值、固定资产减值等;另一方面,净收益又排除了部分“未实现利得或损失”,如“有价证券”的市价变动损益、合并报表中的外币折算损益等。这些未被包括的利得或损失便成了资产负债表“股东权益”的一个项目。该项目同净收益的合并就是综合收益。或者说,综合收益是包括了所有“未实现利得或损失”的“净收益”。
全面收益 即“综合收益”。
线上项目 损益表列报顺序中“营业收益”之上的项目。线上项目(即营业收益的多少)在很大程度上决定总收益的质量。是财务分析的重点。
线下项目 损益表列报顺序中“营业收益”之下的项目。线下项目与线上项目一样会影响总收益和净收益,但它的多少往往不是企业自身努力的结果。因此,财务分析对线下项目区别对待。
底线 即“净收益”。因净收益是损益表的最后一个项目,所以也俗称“底线”。
现金流量表 反映企业一定时期现金的获取能力和运筹水平的会计报表。企业主要财务报表之一。对企业的经营活动而言,现金犹如人体的血液,须臾不可短缺。与“资产负债表”和“损益表”不同,现金流量表以“收付实现制”为基础。它把现金流分为三类:经营活动的现金流、融资活动的现金流和投资活动的现金流。但有些项目的划分缺乏严谨的理论依据。将经营活动现金流与“净收益”(税后利润)进行对比,可以帮助人们一般地评价后者的质量。
直接法 基于“现金”账户发生额的编制方法。现金流量表的编制方法之一。账户的“借方”发生额为现金流入;“贷方”发生额为现金流出。理论上,这种方法简单明了。但是,“现金”账户发生额的项目繁多,所以直接法较间接法更加费时。相对于间接法,直接法不能直观反映经营活动现金流与净收益(税后利润)之间的关系,所以,会计准则通常会追加额外的信息披露。我国的会计准则规定使用直接法。
间接法 利用全部资产负债表账户余额的编制方法。现金流量表的编制方法之一。会计方程式为:
由此得到:
再得到:
等式两边账户的“期末余额”与“期初余额”之差也应该相等。因为资产负债表所有账户的余额均为现成数据,所以间接法避开了对“现金”账户的逐一分析,进而节省了编制的时间。间接法的另一个优点是比较直观地反映了经营活动现金流与净收益(税后利润)之间的关系。
合并财务报表 亦称“合并会计报表”。简称“合并报表”。将母公司(控股公司)与其子公司(附属公司)视为一个统一的经济实体,为反映母公司拥有或控制的全部资产和承担的全部负债,以及在此基础上的财务状况和经营业绩而编制的报表。由于母公司与子公司、子公司与子公司之间发生各种经济业务,所以合并报表须将这些内部交易和往来事项予以剔除。合并财务报表发端于美国摩根大通公司。它于 1901 年自愿合并其所属的美国钢铁公司(US Steel Company)的财务报表。其后,编制合并财务报表逐渐成为各国会计准则的强制性要求。
合并会计报表 即“合并财务报表”。
资本保全 亦称“资本保持”。企业对其投入资本保持完整性,及利润分配中企业对留存收益保持完整性。企业利润的确定须以其资本保全为前提。只有保全了资本,企业方有利润可言。价值补偿观的不同导致不同的资本保全,即财务资本保全和实体资本保全。
资本保持 即“资本保全”。
财务资本保全 亦称“货币资本保全”。资本保全观之一。认为企业赚得的利润必须满足一个条件,即在扣除本期对投资者的分配和投资者的出资之后,期末净资产的财务(或货币)金额必须大于期初资产的财务(或货币)金额。财务资本保全的计量可以用名义货币单位或固定购买力单位。
货币资本保全 即“财务资本保全”。
实体资本保全 亦称“实物资本保全”。资本保全观之一。认为企业赚得的利润必须满足一个条件,即在扣除本期对投资者的分配和投资者的出资后,期末实物生产能力(或营运能力,或企业达到期末实物生产能力所需的资源或资金)必须大于期初实物生产能力。要求采用现行成本计量基础。所有影响企业资产和负债的价格变动都会影响企业的实体生产能力,所以应当作为资本保全的调整,即作为权益的一部分,而不作为利润。
实物资本保全 即“实体资本保全”。
外币折算 亦称“外币换算”。企业在编制合并财务报表时,将母公司和子公司不同货币表述的财务报表按一种选定的货币所进行的重新表述。
外币换算 即“外币折算”。
折算损益 在外币折算中,由于账面汇率与折算汇率的不同而产生的差额。就具体内容而言,折算损益源于企业持有的货币性外币资产和负债折算。折算损失或利得既取决于汇率的变动方向,又取决于货币性外币资产和负债的对比关系,即净资产还是净负债。
成本与市价孰低 企业在存货核算中使用的一项会计惯例。它要求资产负债表日的存货价值或为它的历史成本、或为它的现行市价,两者择低而定。旨在避免资产的高估,进而避免收益的高报。
应收账款 亦称“应收客账”。“应付账款”的对称。企业享有的在未来收取现金、获得商品或劳务的权利。源于企业向客户销售了产品或提供了劳务,即赊销。应收账款的入账金额有两种不同的处理,即总价法和净价法。
应收客账 即“应收账款”。
坏账 亦称“呆账”。债权人无法收讫的、会形成部分或全部损失的应收款项。有两种会计核算方法:直接注销法和备抵法。
呆账 即“坏账”。
直接注销法 “备抵法”的对称。坏账的核算方法之一。对可能发生的坏账损失不予预计,而要到坏账实际发生时才予以注销的会计换算方法。这种方法简化了会计核算,但不符合“权责发生制”原则。
备抵法 “直接注销法”的对称。坏账的核算方法之一。对可能发生的坏账损失定期地予以估计,并依据坏账的实际发生额进行适时调整的会计核算方法。常用的方法有销售百分比法和账龄法。备抵法符合“权责发生制”原则,但会计核算则相对复杂。理论上,估计的坏账是营业收入的调整项目,但实务中它往往被当作费用来处理。
销售百分比法 一种常用的坏账估计方法。按一个统一的百分比来估计坏账。既可以是赊销的百分比,也可以是应收账款期末余额的百分比。
账龄法 一种常用的坏账估计方法。对应收账款按账龄予以分组,并确定相应的估计比率。统计规律显示,应收账款的账龄越大,其成为坏账的可能性越高。
应付账款 亦称“应付客账”。“应收账款”的对称。企业因购买材料、商品和受用劳务等而应付给供应商的款项。应付账款的入账金额有两种不同的处理,即总价法和净价法。
应付客账 即“应付账款”。
总价法 “净价法”的对称。应收账款和应付账款的计量方法之一。总价法不扣减旨在鼓励早日付款而许诺的现金折扣。客户享受的现金折扣作为销售收入的调整数(或作为其他费用)处理。由于现金折扣总是发生在收账时,所以应收账款的数额不受影响。就应付账款而言,则按不扣除购货折扣的总价入账,如果在折扣期内付款,则将折扣作为企业的理财收益。
净价法 “总价法”的对称。应收账款和应付账款的计量方法之一。净价法扣减旨在鼓励早日付款而许诺的现金折扣。客户未享受的现金折扣作为“其他收入”处理,通常在收款时入账。就应付账款而言,则按扣除购货折扣的净价入账,由于超过折扣期付款而丧失的折扣,则作为企业的理财费用。
应计费用 亦称“预提费用”。“待摊费用”的对称。权责发生制下那些会计确认先于现金支付的费用。通常有两种情况:其一是预先估计一种可能的义务,如产品的“三保”费用;其二是一些账款的拖延支付,如期末抵达的话费付款单。
预提费用 即“应计费用”。
待摊费用 “应计费用”的对称。权责发生制下那些现金支付先于会计确认的费用。比如为下一年度支付的报刊杂志费。
永续盘存制 亦称“账面盘存制”。“定期盘存制”的对称。对存货的增减变动进行连续的账簿记录,并随时得出结存数量的核算方法。这种方法不依赖实地盘点,但定期或不定期的实地盘点是保证账实相符的一种必要手段。为企业广泛采用的一种存货核算方法。
账面盘存制 即“永续盘存制”。
定期盘存制 “永续盘存制”的对称。平时只登记存货的增加数,而不登记其减少数;期末通过实地盘点确定存货的结存数量,并倒算出存货减少数的核算方法。相对于永续盘存制,定期盘存制具有简化日常核算的优点;但在资产管理上却不够严谨。
递延所得税 企业资产负债表的项目之一。源于财务会计与税赋会计之间的暂时性差异,即两者在收入和费用确认时间上的先后。具体而言,它又分为递延所得税资产和递延所得税负债。前者表示未来递延回转时所得税的减少;而后者则表示未来递延回转时所得税的增加。
永久性差异 由税收法规与会计准则计算口径不一而产生的差异。具体而言,一些会计准则确认的收入或费用,税收法规不予确认;而另一些在会计准则中不属于收入的项目,税收法规却作为应税收入。这些差异一旦发生,便永久存在。永久性差异只影响当期的应税收益,而不影响以后各期的纳税额。因此永久性差异不存在账务调整问题。
暂时性差异 由税收法规与会计准则确认时间或计税基础不同而产生的差异。有“时间性差异”和“其他差异”之分。前者源于会计准则对收入与费用的确认期间不同于税收法规要求的申报期间;后者则源于会计准则对资产或负债账面价值的确定不同于税收法规规定的计税基础。暂时性差异不仅影响当期的应税收益,而且影响以后各期的纳税额。因此,暂时性差异需要进行账务调整。
少数股权 企业合并财务报表中股东权益的列报项目之一。附属公司股东权益中属于外界其他股东、而未受控股公司控制的那一部分权益。全资控股(即100%持股)则没有少数股权。
留存收益 企业资产负债表所有者权益的报告项目之一。以前年度通过未分配利润而形成的一种资金来源。是所有者对企业的再投资。
有形资产 具有实物形态的非货币性长期资产。一般包括土地、房屋、建筑物、机器设备等。在我国,会计上习惯称“固定资产”。另外,由于土地的国家所有权,企业的“土地使用权”作为无形资产核算。
无形资产 不具实物形态的非货币性长期资产。一般包括专利权、商标、著作权、非专利技术和商誉等。它有购入和自创两种,但会计只确认前者,而不确认后者。因为后者在费用发生时尚缺乏获得资产的把握,所以不能确认为资产,而只能作费用处理。无形资产中的商誉只能产生于企业的并购交易。通常,无形资产须按会计准则进行摊销。
商誉 购受企业实际支付的购买价格同被购企业净资产公允价值之间的差额。当前者小于后者时产生负商誉。商誉既可以从股东权益中予以注销,也可以确认为一项资产,然后再进行分期摊销或作资产减值处理。这两种方法分别叫作“权益联营法”和“购受法”。
摊销 将无形资产的成本分配到该资产预期使用年限中去的会计处理方法。其原理同折旧相似,但一般只用直线法。
折耗 将自然的矿藏资产(如石油、天然气等)的成本分配到该资产预期使用年限中去的会计处理方法。其原理同折旧相似,但一般也只用直线法。
折旧 将长期有形资产(固定资产)的成本减去残值后的净额分配到该资产预期使用年限中去的会计处理方法。其产生主要基于一个事实,即资产服务潜力的减退并最终予以报废。折旧是一个分配过程,而不是计价过程。直线法是最常见的折旧方法。
直线法 一种平均折旧的方法,即折旧额在预期的使用年限内均等。属于一种传统的、使用最为普遍的折旧方法。具体而言,就是以资产的购置成本减去估计残值,再除以预期的使用年限,从而得出资产的年折旧额,即:
年折旧额与资产成本减去残值后的净额之比为折旧率。
加速折旧 亦称“快速折旧”。资产使用初期的折旧率要高于后期的折旧率,从而相对增大初期的折旧额,并随着时间的推移逐期递减。加速折旧的依据:一是科学技术的日新月异;二是资产使用效能的逐年递减。站在企业的立场,加速折旧具有减少技术进步风险和推迟所得税缴纳的功效。
快速折旧 即“加速折旧”。
双倍余额递减法 加速折旧的方法之一。通常,双倍余额递减法也采用固定的折旧率,即直线折旧率的两倍。其计算公式为:
年数总和法 加速折旧的方法之一。计算方法是以资产尚可使用的年限为分子,以使用的年数数字总和为分母所组成的分数为系数,去乘以资产的应计提折旧总额。具体公式为:
存货 指特定时点上一个组织所持有的或运输途中的产品或物料。就制造企业而言,存货一般包括三大类:原材料、在产品和产成品。存货是企业流动资产的一个重要项目。
或有负债 真实性尚不明确的义务。产生于过去的经济业务,但它向真实负债的转化则取决于特定的未来事件。例如,A企业为B企业提供融资担保,对A企业来说就是一项或有负债。 B企业对融资契约的履行情况将决定A企业或有负债向真实负债的转化。由于不确定性,会计一般不确认或有负债,但要求在财务报表附注中予以披露。
盈利能力 企业赚取利润和增加净资产的能力。评价企业的盈利能力构成财务报表分析的一项重要内容。一般以“净收益”(尤其是净收益的经常性项目)作为衡量企业盈利能力的标准。
偿债能力 企业清偿到期债务的能力。评价企业的偿债能力构成财务报表分析的一项重要内容。
先进先出法 存货核算中使用的一种成本流动假设,即先采购或制造的存货被先使用或消耗掉。一种传统的存货核算方法。在物价上涨的情况下,先进先出法会导致收益高报,进而殃及企业的现金流。
后进先出法 存货核算中使用的一种成本流动假设,即后采购或制造的存货被先使用或消耗掉。其基本原则是用销货的重置成本与本期的销售收入相配比,以便更恰当地确定本期的收益。在物价上涨的情况下,公司采用后进先出法具有推迟纳税的好处。美国国会在 1938 年的税收法案中开始允许在税赋会计中使用后进先出法。
购受法 亦称“购买法”。企业合并的会计方法之一。即购受企业按评估后的公允价值(重置成本)记录并入的资产和负债;而实际支付的购买价格与公允价值之间的差额则以“商誉”入账。然后商誉以摊销或减值的方式计入各期损益;或者作为购受企业留存收益的减项,分期冲减股东权益。
购买法 即“购受法”。
权益联营法 亦称“权益合并法”。简称“联营法”。企业合并的会计方法之一。即购受企业按被并企业的账面价值记录并入的资产和负债;而实际支付的购买价格与账面价值之间的差额直接计入损益。权益联营法拒绝将企业合并视为购买行为,因此也不确认“商誉”。权益联营法下,公允价值在记账中不起作用。由于存在低报资产和低报收益的问题,美国的会计准则业已取消了权益联营法。
权益合并法 即“权益联营法”。
比率分析 常用的财务分析方法之一。通过各种比率的计算,对企业在一定时期的财务状况和经营业绩进行的评价。例如流动比率分析、速动比率分析等。比率分析特别适用于对不同企业的评价,因为它在一定程度上排除了企业规模上的不可比性。
流动比率 亦称“营运资本比率”。流动资产与流动负债之比。该比率反映企业的变现能力。如果该比率低于 1∶ 1,说明企业的偿债能力可能有问题;假如高于2∶ 1,则反映企业缺乏营运资本管理的有效性。
营运资本比率 即“流动比率”。
速动比率 亦称“酸性测试比率”。速动资产与流动负债之比。通常,速动资产是指流动资产减去存货。通常,低于 1∶ 1的速动比率会被解释为较高的偿债风险。
酸性测试比率 即“速动比率”。
杜邦分析 一种财务分析模型。由美国杜邦公司(Du Pont)率先使用它通过财务比率的逐层分解来揭示比率之间的相互关系,即:
“销售利润率”和“资产周转率”还可作进一步的分解。实际上,杜邦分析是以“净资产报酬率”为切入点,将考核企业财务状况和经营成果与财务指标有机地结合在一起。
趋势分析 常用的财务分析方法之一。基于比率分析对企业在若干时期的财务状况和经营业绩进行的评价。例如不同年份的流动比率分析、速动比率分析等。趋势分析能够一般地排除特定时期经营中的偶然性因素,展示某种变化的可能性。
管理会计
管理会计 运用会计知识,为企业进行最优决策,改善经营管理,提高经济效益服务的经营管理活动。从传统的会计系统中分离出来的会计分支之一。其涵盖的主要领域包括成本会计、决策会计、控制会计、责任会计等。除成本会计外,管理会计一般不受会计准则和会计制度的制约,信息的提供依内部管理之需要而定,既包括历史数据,也包含预测数据。
成本会计 以归集和分配生产过程中的各种耗费,计算、报告、分析产品成本为手段,以降低产品成本为宗旨的会计。管理会计的一个分支。
责任会计 以企业内部各组织在经济业务和作业上所承担的责任(责任中心)为对象,以归集和陈报各该组织的责任信息为职能的会计。管理会计的一个分支。
责任中心 责任会计的核算单位。即承担一定的经济责任,并享有一定权利的企业内部(责任)单位。是实施责任会计的始点和基础,包括成本中心、利润中心和投资中心。责任中心有明确的决策权限,并据此考核业绩。
成本中心 责任会计中的责任中心之一。只对产品或劳务的成本负责的责任中心。成本中心对其所从事的活动享有成本决策权。因不负责产品或劳务的销售,它的业绩与销售收入或利润无关。成本中心的目标或以最低的耗费完成既定的产量;或在预算既定的前提下增加产出。
利润中心 责任会计中的责任中心之一。既对产品或劳务的成本负责,又对产品或劳务的销售负责的责任中心。通常,利润中心包括若干个成本中心。利润中心不仅对其所从事的活动享有成本决策权,而且对产品或劳务的销售享有决策权。同时,利润中心也有一定的资本预算。利润计划的完成情况是利润中心业绩考核的主要内容。
投资中心 责任会计中的责任中心之一。对成本、利润、资本预算、投资收益均负责的责任中心。通常,投资中心包括若干个利润中心。除了对成本和利润享有决策权外,还享有资本预算的决策权。相对于利润中心,投资中心的业绩考核还包括投资收益。
人力资源会计 把人的成本和价值作为组织资源而进行计量和报告的会计。管理会计的一个分支。以三个基本概念或假设为基础:(1)人是有价值的组织资源;(2)作为组织资源的人的价值,是其管理方式的函数;(3)用计量人力资源成本和价值的形式提供的信息,对卓有成效的人力资源管理是不可或缺的。由人力资源成本会计和人力资源价值会计构成。前者主要计量组织在取得和开发人力资源方面的投入,以及目前雇用人员的重置成本。后者则主要计量人作为经济资源的价值。人力资源成本会计又包括人事管理成本会计和人力资产会计。现行财务会计一般不把人力资源的投资,当作资产处理。
预算 对未来会计年度收入和费用的预期与匡算。预算一般有两个主要功能:决策管理和决策控制。就企业而言,预算的决策管理功能是汇集与交流职能部门(分部)的各种专业知识和信息;而预算的决策控制功能则是业绩评价的重要组成。实践中,企业必须寻求两者的平衡。对业绩评价的偏重会导致部门(分部)的保守。
滚动预算 一种预算的方法。通常,滚动预算涵盖一个固定的期间(如1年或 2年),并随着时间的推移向前延伸。例如,一个为期两年、按季滚动的预算。一个季度结束后,预算向前延伸一个季度,即增加一个新的季度。反复滚动,以至无穷。为管理层提供一个为期两年的视野。
零基预算 一种预算的方法。按照零基预算,预算中的所有项目都必须按年予以彻底的重新审定,即从零开始的再预算,而不是对原有项目和金额的加加减减。旨在发现和取消那些所费大于所得的开支,进而使企业的价值最大化。实践中,零基预算的使用并不普遍。
资本预算 一种常见的投资决策方法。通过投资项目的未来现金流与其所需要投资额之间的对比,以便对各种选择予以定夺的预算。
固定预算 “弹性预算”的对称。只根据预算期内正常的、可实现的固定业务量作为基础进行编制预算的方法。特点是预算额不随业务量的变化而变化。
弹性预算 亦称“可变预算”。“固定预算”的对称。以预算期间可能发生的业务量变化为基础进行编制预算的方法。特点是预算额是业务量的函数。与固定预算不同,弹性预算具有扩大业务量之激励功能。
可变预算 即“弹性预算”。
标准成本 对产品或作业未来成本的理性预期。标准成本产生于预算过程。发现并分析实际成本对标准成本的偏离构成成本控制一项重要内容。除了业绩考核,标准成本还具有其他的功效,包括产品定价、项目投标、业务外包、生产技术的选择等。
成本习性 亦称“成本性态”。成本变动与业务量变动之间的依存关系。有固定成本、变动成本和混合成本之分。它是保本点分析的基础,也运用于其他的经营决策。
成本性态 即“成本习性”。
固定成本 “变动成本”的对称。企业即便不生产也要发生的耗费。如保险费、管理人员工资、保安等。但就单位产品而言,固定成本则是可变的,即随产量的增加而减少。
变动成本 亦称“可变成本”。“固定成本”的对称。企业因产量增加而必须追加的生产耗费。如生产产品的原材料成本。但就单位产品而言,变动成本则是相对固定的,即不随产量的增加而变化。
可变成本 即“变动成本”。
混合成本 亦称“半变动成本”。介于固定成本和变动成本之间的成本。例如,电费既不是纯粹的固定成本,也不是纯粹的变动成本。
半变动成本 即“混合成本”。
完全成本法 以产品为对象归集和分配全部生产耗费(包括直接成本和间接成本)的成本核算方法。财务会计中普遍使用的一种成本方法。
直接成本 “间接成本”的对称。可以便捷予以对象化的生产耗费。即费用的发生与特定的产品或劳务存有直接的关联。通常为变动成本,但也可能是固定成本。
间接成本 “直接成本”的对称。不能便捷予以对象化的生产耗费。即费用的发生与多种产品或劳务存有关联。间接成本需要先归集,然后再按一定的标准予以间接的对象化。
增量成本 在一个决策时点上,为完成一项经济活动还需增加投入的成本。
作业成本法 先以作业为对象,然后再以产品为对象来归集和分配生产耗费的成本核算方法。旨在克服完全成本法下间接成本核算中的不合理分配。由美国学者约翰逊(Johnson)和卡普兰(Robert S.Kaplan,1940— )于 1987 年在《相关性的消失:管理会计之兴衰》一书中率先提出的。
可控成本 “不可控成本”的对称。所有同管理人员决策相关的成本。按照权、责、利相结合的原则,对管理人员成本业绩的考核应以可控成本为主。
不可控成本 “可控成本”的对称。不受管理人员决策影响的成本,如自然灾害、汇率变动等。
会计成本 企业为从事经济活动所花费的货币支出。通常包括生产与经营过程中发生的各项资金支付,诸如工资、原材料费用、动力燃料费用、添置设备费用、土地或厂房的租金、广告支出、保险付款、利息支出与税收,等等。这些成本也常常被称为显性成本,都是被会计人员记录在公司账册上的显性支出。
经济成本 企业所有投入要素的机会成本之和。从经济学角度,资源的有效配置需要考虑资源的机会成本。厂商为完成其经济活动所投入的各项生产要素,也都需要按其机会成本来评价其经济学意义上的成本。
平均成本 平均每单位产出的成本。记AFC(Q)为平均固定成本,亦称“分摊成本”;记AVC(Q)为平均可变成本,它们都是产量的函数,即
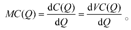
边际成本 增加最后一单位产量所带来的总成本的增加量。因固定成本与产量无关,边际成本只涉及到可变成本。其公式为
微分形式为
机会成本 由于将资源使用于某种特定的用途而放弃的其他各种用途所能带来的最高收益。资源是稀缺的,当选定了某种资源的用途,就意味着放弃了资源用于其他各种用途的“机会”,也就意味着放弃了在这些用途中可能得到的收益。在这一意义上,被放弃的收益也就成为一种“成本”。机会成本并不是实际发生的成本,也并不记录在会计账册上,但它是企业决策时需要考虑的一个重要因素。
沉没成本 亦称“旁置成本”。业已发生、但却无法得到补偿的耗费。通常,沉没成本与决策无关,而与控制相关。让决策人对过去的失误承担责任会迫使其今后的决策更加审慎。
旁置成本 即“沉没成本”。
保本点 亦称“盈亏平衡点”。一个特定的业务量的总收入恰好等于总成本。包括固定成本和变动成本。
盈亏平衡点 即“保本点”。
审计
审计 由专职审计机构或独立的注册会计师依照一定的标准,对被审计单位全部或一部分经济活动及其记录的真实性、合法性、效益性进行审核、取得证据、作出评价,然后发表审计意见的经济监督活动。按不同的标准可作不同的分类。按审计内容,有会计报表审计、合规性审计和经营审计之分;按审计主体,有政府审计、内部审计和注册会计师审计之分,其中注册会计师审计又称民间审计或独立审计;按与被审计单位关系,有内部审计和外部审计之分;按审计范围,有全面审计和局部审计、综合审计和专题审计之分;按施行审计时间,有事前审计、事中审计、事后审计之分;按施行审计的地点,有就地审计和报送审计之分。
审计证据 审计人员在执行审计业务过程中,为形成审计意见所需获取的证据。审计证据可按不同的标准分类。根据与审计目的的关系,有证明是否存在的证据、证明所有权的证据、证明价值的证据等;根据提供逻辑证明的类型,有正面证据、反面证据;根据与被证明事项的关系,有直接证据、间接证据;根据证据的表现形式,有实物证据、书面证据、口头证据和环境证据;根据证据的来源,有外部证据、内部证据等。
口头证据 被审计单位职员或其他人员对审计人员的提问进行口头答复所形成的证据。
书面证据 以审计人员所获取的各种书面文件为形式的证据。包括与审计有关的各种原始凭证、会计记录(记账凭证、会计账簿和各种明细表)、各种会议记录和文件、各种合同、通知书、报告书及函证等。按其来源可以分为外部证据和内部证据两类。
函证 审计人员为印证影响会计报表认定的账户余额或其他信息,以被审计单位的名义向第三方发出询证函,以获取和评价审计证据的过程。按照询证方式的不同,可以分为积极函证和消极函证。
盘点 为确定被审计单位资产的数量和规格,评价资产状况和质量,审计人员对被审计单位各类实物资产及现金、有价证券等进行清点和适当抽查的方法。
交易的实质性测试 为审定某类或某项交易认定的恰当性而进行的审核程序。
余额的实质性测试 为审定某账户余额认定的恰当性而进行的审核程序。
内部控制结构 被审计单位为保证业务活动的有效性,保护资产的安全和完整,防止、发现、纠正错误与舞弊,保证会计资料的真实、合法、完整而制定和实施的政策和程序。内容包括控制环境、会计系统和控制程序。
审计程序 审计工作从开始到结束的整个过程。一般包括三个主要的阶段,即计划阶段、实施审计阶段和审计完成阶段。主要工作包括:调查了解被审计单位的基本情况;与被审计单位签订业务约定书;初步评价被审计单位的内部控制;确定重要性水平;分析审计风险;编制审计计划,对被审计单位内部控制进行控制测试;对会计报表项目进行实质性测试;整理、评价执行审计业务中收集到的审计证据;复核审计工作底稿;形成审计意见,编制审计报告。
审计假设 有助于审计理论的演绎推理和审计工作顺利进行而作出的假设。例如:财务报表数据是可验证的;审计人员与被审计单位管理者之间没有必然的利害冲突;完善的内部控制系统的存在能减少舞弊的可能性;审计人员会尽职尽责地检查财务资料以发表独立的审计意见等。
审计目标 在一定的历史环境下,审计主体通过审计实践活动所期望达到的境地或最终结果。有审计总目标和审计具体目标两个层次。
审计抽样 审计人员在实施审计测试时,从被审总体中选取一定数量的样本进行审查,通过样本的审查结果来推断被审总体特征的审计技术方法。按抽样决策的依据不同,分为统计抽样和非统计抽样;按审计抽样所了解的总体特征的不同,分为属性抽样和变量抽样。
审计风险 会计报表存在重大错报或漏报,而审计人员审计后发表不恰当审计意见的可能性。包括固有风险、控制风险和检查风险。从定量的角度看,审计风险三要素的相互关系可用下列公式表示:
审计工作底稿 审计人员在执行审计业务过程中形成的全部审计工作记录和获取的资料。内容包括审计人员在制定和实施审计计划时直接编制的、用以反映其审计思路和审计过程的工作记录,审计人员从被审计单位或其他有关部门取得的、用作审计证据的各种原始资料,以及审计人员接受并审阅他人代为编制的审计记录。根据审计工作底稿的性质和作用,可以分为综合类工作底稿、业务类工作底稿和备查类工作底稿三类。
审计报告 审计人员在审计实施阶段结束后对被审计事项的结果作出结论,向授权者或委托者提出的书面文件。基本内容有:实施审计概况,包括审计目的和范围、审计时间、审计依据、审计程序等;审计人员表示的审计结论和提出的建议;审计附件;审计人员署名盖章。
重要性水平 被审计单位会计报表中错报或漏报的严重程度。这一程度在特定环境下可能影响会计报表使用者的判断或决策。具有数量和质量两个方面的特征,与审计风险之间存在着反向关系。
政府审计 亦称“国家审计”。“民间审计”的对称。由国家审计机关所进行的审计。属外部审计。各国政府建立的审计组织,因领导关系的不同而分为三种类型:(1)由议会领导。依照国家法律赋予的权力,对各级政府机关的财政、财务活动,以及公有企业事业单位的财务活动进行审计。如美国的审计总局、西班牙的审计法院、英国的国家审计署。(2)由政府领导。根据国家赋予的权限,对政府所属各级、各部门、各单位的财政预算和财政、财务活动进行审计,如前苏联的国家监察部、罗马尼亚的最高财政监察院等。(3)由财政部领导。按照国家的政策、法律、财政预算和财政规章制度,对各部门、各单位财政、财务活动进行审计,如瑞典的国家审计局。从审计机构的独立性和权威性来说,由议会领导最适宜,为大多数国家所采用;政府领导次之;财政部领导最差。审计机关由议会领导,法律上处于独立的地位,不受行政当局干预,能够充分发挥审计的职能和作用。我国审计机关由政府领导,在国务院下设审计署,各省、市、自治区、直辖市、地、市、县设审计局,各级审计机关依照国家法律、法令和政策的规定履行审计监督职责。
国家审计 即“政府审计”。
民间审计 “政府审计”的对称。会计师事务所、审计事务所受当事人委托,对有关经济组织的有关经济活动所进行的审计查证业务。属外部审计。
注册会计师协会 由注册会计师组成的行业自律组织。主要职责包括:依法加强自律性监管,指导、督促注册会计师公正执业,严格遵守职业道德规范;加强执业标准建设,强化业务指导,不断提高注册会计师执业水平;组织注册会计师考试,完善后续教育制度;向政府有关部门反映注册会计师的意见和建议,努力改善注册会计师的执业环境;提供必要的专业援助,维护注册会计师的合法权益。
注册会计师 英语Certificated Public Accountant的意译,缩写CPA。通过特定组织的认定,被社会所认可的,具有良好的会计知识、提供专业的会计服务的人员。其业务范围主要包括:审查企业的会计报表,出具审计报告;验证企业资本,出具验资报告;办理企业合并、分立、清算事宜中的审计业务,出具相关报告;办理法律、行政法规规定的其他审计业务,出具相应的审计报告;提供会计咨询和会计服务业务。
CPA 即“注册会计师”。
审计委员会 董事会按照股东大会决议设立的、隶属于董事会的一个专门委员会。一般由3-7 人组成。根据各国立法的要求,成员必须绝大多数是独立董事。它主要有三大职责:(1)财务报告方面:主持有关外部审计的事务,选择独立审计师;检查公司所有重要的会计政策,对重大的变动和其他有疑问之处加以报告;(2)公司治理方面:保证公司有效遵守法律法规、遵守商业道德,保持有效的控制以揭示利益冲突和差错;(3)公司控制方面:通过内部审计职能,监察财务风险及经营风险、内部控制制度。设立审计委员会的目的在于强化董事会决策功能,做到事前审计、专业审计,确保董事会对经理层的有效监督,完善公司治理结构。
独立审计准则 规范注册会计师执行审计业务,获取审计证据,形成审计结论,出具审计报告的专业标准。注册会计师职业规范体系的重要组成部分,是注册会计师在执行独立审计业务的过程中应当遵循的行为准则,也是衡量注册会计师工作质量的权威标准。内容主要包括审计人员的资格要求和行为规范,审计工作组织和保证审计工作达到质量要求的措施,以及审计报告的表达方式。


