管理经济学
总类
管理经济学 亦称“企业经济学”。以微观经济学的理论和方法为基础,研究企业经营各种决策问题的学科。经济学分支学科之一。研究角度偏重于实证与应用,与微观经济学偏重于规范的与理论的分析不同。研究的核心问题是企业以利润最大化或长期价值最大化为目标的各项决策。主要内容包括市场需求分析、生产决策与技术选择、成本分析及其应用、市场结构与市场竞争、定价策略、价格领导与卡特尔、产品差异化策略、产能竞争、市场进入与进入遏制、技术创新与产业融合、信息不对称下的激励机制等。
企业经济学 即“管理经济学”。
微观经济学 与“宏观经济学”相对。经济学按研究对象层次划分的一个主要分支。以单个经济主体,即单个消费者(家庭)、单个厂商和单个市场的经济行为的规律作为研究对象。主要内容包括消费者行为理论、生产理论和成本理论、市场供需均衡与非均衡理论、市场结构与市场竞争理论、生产要素理论、一般均衡理论和经济福利理论等。价格机制及市场价格的发现是其核心论题,故亦称“价格理论”。
宏观经济学 与“微观经济学”相对。经济学按研究对象层次划分的一个主要分支。着眼于国民经济的总量分析,以整个国民经济的运行作为研究对象。分析一个国家或地区的国民生产总值(或国内生产总值)和国民收入的变动,就业总量和失业率的变动、经济周期波动、通货膨胀、经济增长等问题,研究经济开放、政府的财政政策和货币政策对宏观经济运行的影响,等等。其研究涉及总需求、总产量、总就业量、国民收入、物价水平和经济增长率等经济总量,并以收入和就业为中心,故亦称“收入理论”或“就业理论”。
资源 任何一种有形或者无形的、可用于维持人们的生计或可用于生产与服务的并具有有限可利用性的事物。具有经济价值。
资源的稀缺性 指相对于人类无限的需要与欲望,社会拥有的资源所具有的不敷使用的特性。被认为是所有经济问题产生的根源。如一般均衡理论的开创者、法国经济学家瓦尔拉斯(Marie Esprit Léon Walras,1834—1910)给社会财富也就是经济货物所下的定义,指的是“所有稀缺的东西,物质的或非物质的,也就是说,它一方面对我们有用,另一方面它可以提供给我们使用的数量却是有限的”。
资源配置 在一定的时间与空间范围内,社会对其所拥有的各种资源在其不同用途之间进行的分配。资源的稀缺性决定了任何一个社会都必须通过一定的方式把有限的资源合理分配到社会的各个领域中去,用最少的资源耗费,生产出最适用的商品和劳务,获取最佳效益。在社会化大生产条件下,资源配置有两种方式:计划配置与市场配置。计划配置即计划部门根据社会的需要和可能,以计划配额、行政命令等方式来对资源配置进行全面统一的管理和调度;市场配置即依靠市场机制的运作来对资源进行配置。现实中,在计划经济中也存在部分的市场机制配置,在市场经济中也存在政府对市场的干预或规制,从而对资源配置产生影响。
企业目标 企业各项活动所要达到的总体效果。经济学假设企业经营的目标是追求最大化的利润,长期中追求企业价值最大化。现实中的企业可能以市场份额最大化、企业成长速度最大化等为目标。微观经济理论分析采用单一的静态目标假设。利润动机是具有普遍意义、具有核心地位和持久的支配企业行为的力量,这种简化假设具有合理性。基于该假设对企业产出、价格、竞争策略等各种行为所进行的理论研究已经充分揭示了企业行为的本质,该假设构成经济学理论体系的基础假设之一。
利润最大化
企业通过价格与产出等决策获得最大利润的过程。收益大于成本的剩余是利润,可记为π = R - C。利润最大化的必要条件是边际收益等于边际成本,即MR = MC;充分条件是利润函数的二阶导数小于 0,即
,其中,Q为销售量。也就是说,边际收益的变化率要小于边际成本的变化率。可以将厂商的利润最大化转化为两种特殊情况。一种情况是,当总成本给定,利润最大化就等价于收益最大化,而在产品价格作为不变参数的条件下,也就等价于产量最大化;另一种情况是,如果厂商的产量已经给定,同样在价格也是不变参数的条件下,其收益也就给定,此时利润最大化就等价于成本最小化。
边际收益
增加一单位产品的销售所带来的收益的增加量。边际收益与需求价格弹性之间的关系为
,其中E
p
为需求的价格弹性。当价格是常数时,MR与价格P相等。
边际分析法 企业或个人通过分析变量的边际变动来做出最优决策的方法。对现有行动计划进行微小的增量调整即为边际变动。仅当一项决策的边际收益大于边际成本,一个理性的决策者才会采取这项决策。
实证分析 与“规范分析”相对。从客观事实本身出发,说明和回答“是怎样”和“为什么”问题的研究方法。在管理经济学中,旨在研究经济社会实际上是按照什么规律在运行,并借以预测人们经济行为的后果,而不对事物作好坏、善恶的评价。
规范分析 以一定的价值判断为出发点,说明和回答“应该怎样”问题的研究方法。涉及价值判断,而价值判断就其本质来说是一种主观的选择。需要建立在实证分析的基础上。
比较静态分析 改变某一参数,通过新均衡状态与原均衡状态的比较以分析某项因素的变化对均衡所产生影响的方法。管理经济学的基本分析方法。其优点在于,将某一因素的影响从众多因素影响的综合效应中提炼出来,为认识多项因素共同作用下产生变化的复杂现实世界提供简明有效的研究思路。
市场 买者和卖者进行交易的场所。如商品交易所、农贸集市等。在具体分析中,一个市场所覆盖的地理范围和商品范围,可根据所需解决的问题的性质来决定。在理论研究中,总假定市场的地理范围和商品范围已经是明确界定的。
市场均衡 供给与需求平衡的市场状态。在影响需求和供给的其他因素都给定不变的条件下,市场均衡由需求曲线与供给曲线的交点所决定。此时商品价格达到这样一种水平,使得消费者愿意购买的数量等于生产者愿意供给的数量。在这种状态下,买者与卖者都不再希望改变当时的价格与买卖的数量。市场处于均衡状态时的价格称为均衡价格,与均衡价格相对应的成交数量称为均衡交易量(或均衡产量、均衡销量)。
市场机制 市场经济中通过各种经济主体之间的相互作用从而对资源配置进行调节的功能体系。在这种调节中,市场价格是市场信息的最有效和最廉价的传递者,供给方和需求方都根据各自的利润状况和效用对价格作出反应,也只需要对价格作出反应,就可以使市场“自动”地趋向均衡。其调节过程大致为:对同种商品,供过于求时,卖方竞争,导致价格下降,利润减少,厂商将减少产量甚至退出该市场;供不应求时,则相反。对不同商品,供求状况变化时,相对价格与相对利润变化,导致各种生产要素在不同市场之间流动。这种利用价格信号进行资源配置调节的方式常常也被称为“价格机制”。
市场均衡的变化 市场均衡状态的变化。这种变化是由除了商品价格之外的其他参数发生变化所引起的,此时需求曲线或供给曲线会发生位移,从而市场的均衡点也发生变化。由于需求和供给的影响因素很多,并且处于经常的变动之中,这就使市场均衡不断受到扰动,使市场不断地处于从原有的均衡状态向新的均衡状态的变动过程之中。
市场非均衡 市场中出现的持续的短缺(供不应求)或过剩(供过于求)的状态。通常由政府对市场的直接干预所导致。
最高限价 政府对市场上某一商品规定不允许超过的价格限制。最高限价应低于市场均衡价格。在战时或某些特殊情况下,为了保证居民的基本生活水平,政府往往对一些生活必需品制定最高限价。
最低限价 政府对市场上某一商品规定不允许低于的价格限制。最低限价应高于市场均衡价格。最低工资是劳动市场上的最低限价,政府制定最低限价是为了保护供给方的利益。
价格支持 为了支持某一行业的生产,政府不仅制定最低限价,而且花费财政支出购买过剩产品的政策。通常用于对农业生产的保护。
需求分析
需求 消费者在市场某一时段内愿意并有能力购买的商品数量。人类的需要可以是无限的,但需求却永远是有限的。人们的需要只有在具备了支付能力的情况下才会形成现实的市场需求。
个人需求 单个消费者对某种商品的需求。
市场需求 市场上所有消费者对某种商品的总需求。市场需求曲线由单个消费者的需求曲线水平加总而成。
派生需求 由对最终消费品的需求派生而来的需求。所有对中间产品或中间服务的需求都是派生需求。
平均收益
平均每单位产品的销售所获得的收益。
,其中, AR为平均收益,R为收益,P为价格,Q为销售量。平均收益等于价格,即平均收益线与需求曲线重合。
需求函数 反映单个消费者或一个市场的众多消费者在一定时期中对某一商品的需求量(因变量)与其影响因素(自变量)之间的关系式。这些影响因素通常包括该商品的价格、消费者收入水平、消费者偏好、替代品的价格、互补品的价格、人口数量、预期的该商品价格等。
需求规律 在影响商品需求的其他因素给定不变的条件下,一种商品的需求量与其价格之间存在的反方向变动的关系。价格越高(或价格提高),需求量就越少(或需求量减少);价格越低(或价格降低),需求量就越大(或需求量增加)。该规律对几乎所有商品都成立。
需求曲线 在需求量-价格平面上,用以反映需求规律的曲线。其斜率是负的,即是向下倾斜的。
消费者收入 消费者在一段时间内(通常指一年)所获得的实际货币收入。由于国家之间或区域之间名义收入水平与物价水平有较大差异,通常用购买力平价的方法来比较不同区域的实际收入水平和实际购买力。
消费者偏好 反映消费者对不同产品和服务的喜好程度的个性化偏好。影响市场需求的一个重要因素。主要由当时当地的社会环境、风俗习惯、时尚变化等对整个消费者群体或某个特定群体产生的影响所决定。
互补品 需要与另一种商品一起消费的商品。两种要一起消费才能使消费者得到满足的商品互为互补品。商品之间的互补性往往是不对称的,其互补的程度因商品特征而异。当一种商品的需求增强时,其互补品的需求也会增强。其中一种商品的价格上升会引起另一种商品需求的减少。互补品之间的交叉价格弹性小于零。
替代品 可用来替代另一种商品的某种用途而使得消费者获得同样满足的商品。两种商品的可替代性通常是相互的,即互为替代品。但商品之间的可替代性通常是不对称的,其替代的程度也因商品特征而异。当一种商品的需求增强时,其替代品的需求会减少。因此,当一种商品的价格上升,消费者将更多地购买其替代品。替代品之间的交叉价格弹性大于零。
预期价格 购买方或供给方对商品预期的价格。会影响双方当前的行为。当预期价格上涨时,购买方会增加当前的需求,供给方却会减少当前的供给;反之,当预期价格下跌时,购买方会减少当前的购买,供给方却会增加当前的供给。
需求曲线的变化 由于除了价格之外的其他参数发生变化而引起的整个需求关系的变化。意味着消费者在每一种价格下所希望并能够购买的数量都与以前不同。在图形上表现为需求曲线的位移。
弹性 用以度量因变量关于自变量的变化作出反应的敏感程度的指标。是无量纲的单纯的数字,与商品的计量单位无关,这种敏感程度由弹性数值的大小来反映,可以在不同产品之间进行比较,也可以在不同自变量之间进行比较。
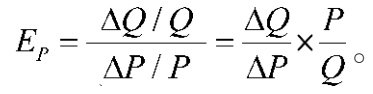
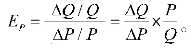
需求的价格弹性 简称“需求弹性”。反映需求对于商品价格变动的敏感程度的指标。是价格变动所引起的需求量变动的程度。以需求量变动百分比与导致该需求量变动的价格变动百分比的比率来表示。设E p 为需求的价格弹性,P代表某商品的价格,ΔP代表该商品价格的变动量;Q代表该商品的需求量,ΔQ代表该商品需求的变动量,则计算公式为:
根据需求的基本规律,分子(需求量变动的百分比)和分母(价格变动的百分比)将总是按相反方向变动,因此需求的价格弹性总是负值。通常用E p 的绝对值来衡量弹性的大小,当其绝对值大于1时,称为弹性充足;小于1时称为弹性不足;等于 1时称为单位弹性;为0时称为完全无弹性;为无穷大时称为完全弹性。需求弹性的大小因商品而异,也因人而异。其主要影响因素是该商品被替代的可能性。
点弹性
需求曲线某一个点上的价格弹性。是当价格的增量ΔP趋于0 时的弹性。假定需求函数关于其各个自变量是可导的,点弹性的计算公式为
。此时其他变量不变,也就是说需求量的变化仅仅是由价格的变化所引起。对于需求曲线的函数形式Q = f(P),点弹性的计算具有更简单的形式
。
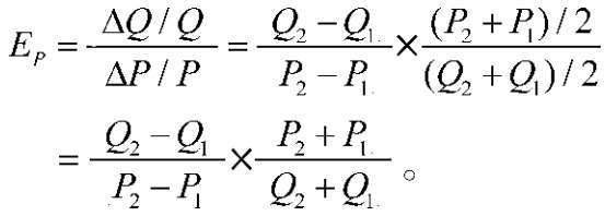
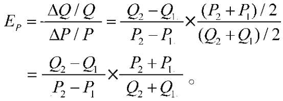
弧弹性 需求曲线上两个不同点之间的价格弹性。为了避免在价格上升与价格下降时以不同基点计算的弹性不同,弧弹性的计算取这两点连线的中点为基点,公式为:
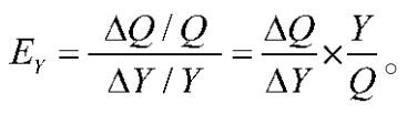
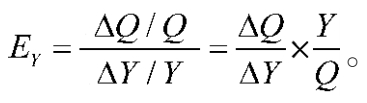
需求的收入弹性 简称“收入弹性”。用以度量需求对于消费者收入水平变化的敏感程度的指标。以需求量变化的百分比与导致该需求变化的消费者收入变化的百分比的比率来表示。设E Y 为需求的收入弹性,Y代表某消费者收入,ΔY代表该消费者的收入的变动量;Q代表某商品的需求量;ΔQ代表该商品需求的变动量,则公式表示为:
低档品 收入弹性E Y 小于0的商品。随着消费者收入水平的提高,对这类商品的需求趋于减少。
正常品 收入弹性E Y 大于0的商品。即随着消费者收入水平的上升,对这类商品的需求趋于增加。
必需品 收入弹性E Y 大于0但小于等于1的商品。其需求增长的百分比小于等于收入增长的百分比。
奢侈品 收入弹性E Y 大于1的商品,其需求增长的百分比大于收入增长的百分比。
需求的交叉价格弹性 用以反映某商品的需求对于另一商品的价格变动的敏感程度的指标。以某商品(A)的需求变动的百分比与其他商品( B)价格变动百分比的比例来表示。定义式为:
成本分析
生产函数 在生产技术给定的条件下,在一定时期内产品的最大产出量与生产要素投入的不同组合之间的物质数量依存关系。其一般表达式为:Q = F ( x, y,z…),式中Q代表某种产品的实物产出量,x、y、z…分别代表各种生产要素的投入量,如原材料、机器设备、劳动、土地、企业家才能等。当生产技术发生变化时,生产函数也将发生变化。若生产某种产品的各种要素之组合比例是固定的,称为固定技术系数(或固定比例)生产函数;但在大多数情况下,制造一定量某种产品所需各种生产要素之间的组合比例是可以改变的,如可以使用较多劳动较少资本,也可以使用较多资本较少劳动,称为可变比例生产函数。
生产要素 可用于生产的社会资源。如土地、劳动力、机器设备、原材料和能源等。在知识经济时代,知识成为主要的生产要素。
生产技术 在将厂商视为“黑箱”时对其生产的经济特性的综合描述。其“技术”具有宽泛的涵义,如厂商的设备是否先进,管理水平的高低,劳动者素质的优劣等都被认为对厂商的“技术”产生影响,都将影响该厂商的投入-产出关系。因此常用不同的生产函数来表示不同的生产技术,用生产函数的改变来反映生产技术的改变。
劳动密集型技术 与“资本密集型技术”相对。需要多投入劳动少投入资本的生产技术。使用该类技术时,劳动者技术装备程度较低,能吸收较多劳动力。
资本密集型技术 与“劳动密集型技术”相对。需要少投入劳动多投入资本的生产技术。使用该类技术时,劳动者技术装备程度较高,需要较大的资本投入。
长期 厂商对所有投入要素都可以改变的时间期限。在长期中,厂商不仅可以根据市场需求调整其产量,而且还能进入一个新的市场,或退出原来所在的市场。
短期 厂商至少有一种投入要素不能改变的时间期限。对于大多数产业,厂商的厂房和机器设备等固定资产相对于劳动要素都是比较难以迅速改变的投入,故短期通常也被定义为厂商的固定资产或资本投入固定不变的时期,这些固定的投入也叫不变投入。在短期中,那些容易改变的投入如劳动力、原材料、易耗品等则为可变投入。
长期生产函数 对应于长期的生产函数。在假设只有资本(K)和劳动(L)两种生产要素的条件下,具体形式为:Q =F(L,K),其中Q为实物产出。此时劳动和资本都是可变的。
短期生产函数 对应于短期的生产函数。一般地,假设资本K是不变投入(或称固定投入),其给定的数量为K 0 ,则短期生产函数可被表示为:Q = F(L,K 0 ),或更简单地表示为:Q = F(L)。
平均产量
每单位劳动的平均产出。即
。
边际产量
增加一个单位的劳动投入所带来的总产量的增加量。即
,其微分形式为
。
边际报酬递减规律 简称“报酬递减规律”。反映短期内劳动的边际产量与劳动投入之间关系的规律。在技术给定和生产的其他要素投入不变的条件下,连续增加劳动投入会使其边际产量增加到某一点,超过这一点后,继续增加劳动投入会使其边际产量趋于减少。
等产量曲线 厂商生产某一给定数量的产品所需使用的两种生产要素(劳动与资本)的不同数量组合点的轨迹。分析厂商生产行为的一种理论工具。在平面图上表示,在给定的生产技术条件下,对应于给定产量Q 0 的等产量曲线上的任何一点表示一定量的劳动和一定量的资本的组合,任何一种组合都能得到Q 0 个单位的产出。根据给定的生产函数,可以在同一平面上画出无数条等产量曲线,每一条等产量曲线对应于一定量的产出。其性质为:(1)处在较高位置上,即离原点较远的等产量曲线总是代表较大的产出;(2)同一等产量曲线图上的任意两条等产量线不会相交;(3)等产量曲线向右下方倾斜,其斜率是负的;(4)等产量曲线凸向原点,其斜率的绝对值是递减的。
等成本曲线 厂商在给定要素价格的情况下,可购买的两种生产要素(劳动与资本)的不同数量组合点的轨迹。分析厂商生产行为的一种理论工具。在平面图上表示,以任一给定的货币总成本,假设劳动的价格为w,资本的价格为r,厂商的货币总成本为C。其成本构成可由下式表示:C = w·L + r·K。式中L表示劳动的购买量,K表示资本的购买量。其性质为:(1)离原点较远的等成本曲线总是代表较高的成本水平;(2)同一等成本曲线图上的任意两条等成本曲线不会相交;(3)等成本曲线向右下方倾斜,其斜率是负的。(4)在要素价格给定的条件下,等成本曲线是一条直线,其斜率是一个常数。
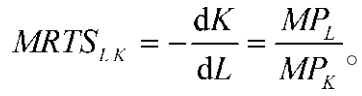
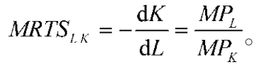
边际技术替代率 可实现同等数量产出条件下,两种要素之间进行替代的边际量的比率。在同一条等产量曲线上,把每单位劳动投入的增加所能够替代的资本的数量称为劳动对资本的边际技术替代率,记为MRTS LK 。其公式为:
生产要素的最优组合
能够实现厂商利润最大化的要素组合比例。不论是成本既定求最大产出的情况,还是产量既定求最小成本的情况,最佳组合都在等成本曲线与等产量曲线的相切点。由两条曲线斜率相等的条件可以得到生产要素最优组合的必要条件为:
,或
。
规模报酬 在技术不变的条件下,各生产要素同比例变化所导致的产出量变化的特性。若各项生产要素的投入都增加λ倍,产出也增加λ倍,则称规模报酬不变;产出增加小于λ倍,则称规模报酬递减;产出增加超过λ倍,则称规模报酬递增。这里的“规模”变化要求各项要素严格按同一比例变化。
会计利润 会计学意义上的利润。等于收益减去会计成本。
经济利润 亦称“超额利润”。经济学意义上的利润。等于收益减去经济成本。
正常利润 经济成本超过会计成本的差额。是厂商进行经济活动所应该获得的合理回报。也就是厂商投入经营活动的各项资源的机会成本超过其会计成本的部分之总和。正常利润包含在经济成本之中,是经济成本的一部分。在实践中,正常利润可以粗略地用行业平均投资回报来衡量,正常利润率也就是行业平均的投资回报率。不同行业因风险高低不同而具有不同的平均投资回报率。
规模经济 在技术不变的条件下,在生产的一定区间内其平均成本随着厂商生产规模的扩大而降低的现象。主要来源于劳动与机器设备的专业化分工、生产要素的不可分割性(如现代化生产流水线)、分销渠道与售后服务网络、物流配送和财务方面的利益等。
规模不经济 在技术不变的条件下,在生产的一定区间内其平均成本随着厂商生产规模的扩大而上升的现象。主要来自企业内部管理效率的降低。
最低有效规模 存在规模经济的情况下,厂商应该达到的最低生产规模。这一规模能够把绝大部分规模经济的利益都加以利用。在这一规模之后,继续扩大生产能力已经不能明显降低生产的平均成本。
规模经济指数
反映规模经济性质的指标。建立在成本的产出弹性基础上。成本的产出弹性即产量每变化百分之一所引起的成本变化的百分比,记为
,
。则
。当规模经济中性时,SEI等于零;当存在规模经济时,SEI大于零;当存在规模不经济时,SEI就是一个负数。SEI越接近于零,说明规模经济越不显著;越接近于 1,说明规模经济越显著。
学习效应 厂商从累积生产中通过不断学习所获得的降低平均生产成本的效应。来自多个方面,如生产工人因不断生产同一种产品而提高劳动技能从而提高劳动生产率;生产管理者从累积生产中提高其管理效率;市场营销或分销渠道管理也从同样的经济活动的不断重复中获得经验从而提高效率等。
范围经济 厂商因同时生产两种或多种产品所能获得的生产成本的节约。可用公式衡量:
其中C(Q 1 )与C(Q 2 )分别为独立生产第一种产品Q 1 与第二种产品Q 2 时各自的总成本,C(Q 1 ,Q 2 )则为同时生产Q 1 与Q 2 时的总成本。若SC > 0,则存在范围经济;若SC < 0,则存在范围不经济。
供给函数 反映一种商品市场上的供给量与影响这一供给量的各项因素之间的关系式。这些影响因素通常包括该商品的价格、劳动力价格、利率、该商品的生产技术水平、该商品的预期价格、政府税收等。
厂商供给曲线 在竞争性市场上,在企业追求利润最大化的假设下,反映厂商的供给与商品价格之间依存关系的曲线。在其他条件不变的情况下,当商品价格上升时,厂商会增加该商品的供给;反之,当商品价格降低时,厂商则会减少其供给。厂商供给曲线的斜率是正的。
供给曲线 反映整个市场上的供给与商品价格之间依存关系的曲线。把该市场中所有单个厂商的供给曲线按水平方向加总,即得到整个行业的供给曲线。即对应于任一价格P,整个行业的供给量Q就应是各家厂商在此价格下愿意供给的数量之和。
供给曲线的变化 由影响供给的其他参数的变化所引起的整个供给关系的变化。此时生产者在任何一个价格下所愿意供给的数量都与以前不同,整个供给曲线发生了位移。
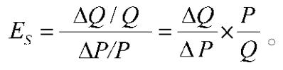
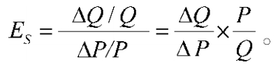
供给的价格弹性 简称“供给弹性”。用以度量商品的供给对于商品价格变动的敏感程度的指标。是价格变动所引起的供给量变动的程度。以供给量变动百分比与导致该供给量变动的价格变动百分比的比率来表示。设E S 为供给弹性,P代表某商品的价格,ΔP代表该商品价格的变动量;Q代表该商品的供给量,ΔQ代表该商品供给的变动量,则计算公式为:
市场结构
市场结构 根据不同竞争态势与竞争特性而对市场进行的划分。影响竞争态势与竞争特性的主要因素是划分市场结构的依据。这些因素主要包括:市场中买者与卖者的个数及其分布状况,商品的同质性,市场进入或退出的自由程度,以及信息的完全性。根据这四种因素,可以将市场结构区分为四种主要类型:完全竞争、完全垄断、垄断竞争和寡头垄断。
商品同质性 影响市场竞争的主要因素之一。不同企业生产的不同商品的相似程度。如果两种商品是一模一样的,以至于消费者无法辨别商品是由哪一家企业生产的,就说这两种商品是同质的。
信息完全性 买者与卖者对市场中所有与交易有关的信息完全了解的程度。影响市场竞争的主要因素之一。
市场进入壁垒 企业在试图进入某一市场时面临的障碍。影响市场竞争的主要因素之一。进入壁垒的高低受到许多因素的影响,如行业的规模经济性、企业运作所需的资本数量、生产技术是否容易获得、商品的差异性,以及政府的许可等。
完全竞争 亦称“原子型市场结构”。具有最高市场效率的理想的市场结构。在完全竞争的市场中,有大量买者与卖者,每家厂商都只占据极小的市场份额;厂商生产同质产品;市场进入与退出完全没有障碍;信息是完全的。
垄断竞争 接近于完全竞争的市场结构。在垄断竞争的市场中,有大量买者与卖者,市场的进入与退出也是完全自由的;厂商生产的商品是有差别的;并不要求信息的完全性。有差别的商品可以由不同的企业生产,而有些企业也可能同时生产几种有差别的商品,但前一种情形更具有一般性。
完全垄断 与完全竞争相对的市场结构。在完全垄断的市场中,只有唯一的卖者,而且这种商品没有相近的替代品;市场的进入被封锁,从而使该企业能够保持其垄断地位;信息是不完全的。现实经济中,公用事业部门如电力供应、自来水、煤气、邮政等部门通常是垄断的。
寡头垄断 由少数几家厂商控制市场供给的市场结构。在寡头垄断的市场中,厂商生产的商品可以是同质的,也可能是有差别的;市场进入相当困难,市场信息是不完全的。
市场集中度
市场中企业的市场份额的集中程度。市场集中度的衡量通常采用以下公式表示:
,其中s
i
为按照市场份额大小排列的各家企业的市场份额,即要求s
1
> s
2
> …> s
n
,其直观意义是市场中占据最大市场份额的n家企业的市场份额之和。常用的有C
4
或C
8
,市场中最大的4家或8家企业的市场份额之和越是接近于 100%,这一市场的垄断性就越强。
赫芬达尔指数
行业内所有企业的市场份额的平方和。度量市场集中度的一种指标。其公式为:
,式中H表示赫芬达尔指数;s
i
表示某一企业的市场份额。在完全竞争条件下,H指数将等于0;在完全垄断的条件下,H指数等于 1;如果市场中所有企业规模相同,H指数等于1 / n 。
短期停止营业点 短期中使得厂商停止生产的价格水平。厂商可以根据单位产品的贡献来衡量是否应该停止营业。所谓单位产品的贡献,就是产品销售价格超过其平均可变成本的部分,即P-AVC,也可称为“单位毛利”。当单位产品的贡献是正数,即使价格低于平均总成本,厂商也应继续生产。此时生产所得收益不仅可以抵偿所有可变成本,还可抵偿一部分固定成本。反之,如果单位产品的贡献是负数,维持生产就比停止生产导致更多亏损。
消费者剩余 消费者购买某种商品的保留价格超过其实际支付价格的部分。就消费者总体来看,消费者剩余应等于所有单个消费者的剩余之和。如图中,等于需求曲线与市场价格水平线之间的面积,即三角形P 0 EF的面积。
需求曲线与消费者剩余曲线图
生产者剩余 生产者从其商品销售中所得的超过其愿意接受的价格的部分。在完全竞争条件下,厂商愿意按照其边际成本生产最后一个单位的商品,因此也就是其销售价格超过其边际成本部分。就生产者总体来看,生产者剩余应等于所有单个生产者的剩余之和。如图中,等于供给曲线与市场价格水平线之间的面积,即三角形GEP 0 的面积。
供给曲线与生产者剩余曲线图
社会福利 市场达到均衡的情况下,市场总的剩余状态。即消费者剩余与生产者剩余之和。
福利净损失 因政府干预等原因,与完全竞争的均衡状态相比,消费者和生产者都没能得到的那部分社会剩余。以最高限价为例(如图所示),完全竞争市场的均衡点在E点,市场均衡价格应为P E ,市场交易量应为Q E 。但政府实行最高限价P max ,市场交易量将为Q 1 。消费者剩余的变化为ΔCS = A - B,生产者剩余的变化为ΔPS = - A - C。综合起来,市场剩余净减少面积B和面积C。面积B + C即为社会福利的净损失。
最高限价对市场剩余的影响曲线图
可竞争市场理论 解释市场竞争状态的理论。美国经济学家鲍莫尔( William Jack Baumol,1922— )1982 年提出。主要观点是,只要存在潜在的竞争压力,即存在一个进退无障碍的市场结构,即使厂商数目并不太多,也能实现竞争市场上的企业行为和市场绩效。该理论具有重要的政策涵义:政府可根据可竞争市场理论的要求制定相应的管制政策或规章,尽可能保持潜在的竞争压力,以此约束大企业的行为。其根本目的在于保持规模经济的同时,又较好地克服垄断的弊端。
租金 为使用土地、劳动、设备等各种资源所作的支付。一般把使用劳动的支付称为“工资”,使用土地或设备的支付称为“租金”,使用货币的支付称为“利息”,而使用知识的支付称为“专利费”。
经济租金 对某种生产要素所愿意支付的超过为购买该要素而必须要支付的部分。对于在竞争市场中获取超额利润的企业,其超额利润来自有关的特殊资源(如企业家才能、土地等)的经济租金。
非竞争性市场
非竞争性市场 垄断竞争或寡头垄断的市场结构。在不完全竞争的市场中,各家企业之间存在不同程度的相互依存性,即某个企业的决策将对其他企业产生影响;反过来,某个企业某项决策的结果如何也依赖于其他企业对其决策作出怎样的反应。
市场势力 亦称“垄断势力”。企业对市场价格的控制力。反映企业在一个市场中所拥有的势力的强弱。
垄断势力 即“市场势力”。
勒纳指数
以企业利润最大化的价格超过企业边际成本的相对程度来衡量企业垄断势力的指标。由美国经济学家勒纳(Abba Lerner,1903—1982)在 1934 年提出并使用,记为L,其计算公式为
。
简单定价法则
建立在勒纳指数基础上的企业定价原则。如果厂商能够估计其产品的需求价格弹性,那么,它就可以根据公式
来制定其产品的价格。
卡特尔 寡头垄断者之间的一种正式合谋形式。寡头垄断市场中各家企业通过明确的、通常是正式的协议来协调其各自的产量、价格或其他诸如销售地区分配等事项。
产品差异化 企业提供的产品和服务,通过各种方法造成的足以引发顾客偏好的特殊性。是市场竞争中一种重要的竞争战略,使顾客能够有效区别同类产品的不同类型,使企业在市场竞争中占据有利地位。包括产品本身品质,如式样、型号、技术、功能、档次等,也包括产品包装、商标、服务质量,甚至文化等。
霍特林模型 用来分析产品差异化的理论模型。由美国经济学家霍特林(Har old Hotelling)于 1929 年提出。基本假设是,消费者均匀分布在一个“线性城市”——以直线表示——上,厂商销售同质产品。在厂商只进行定位竞争的情况下,以及在定位之后进行价格竞争的情况下,用该模型可以分析市场均衡状态,并在此基础上分析厂商的最优策略。
价格领导 寡头垄断市场中厂商之间对价格默契共谋的一种形式。在一个行业中由某一家企业率先制定价格,其他企业随后以该“领导者”的价格为基准,再决定各自的产品价格。如果产品是同质的,则价格通常是一致的;如果产品是有差别的,则价格通常也会有差别。其模式按领导企业的性质可分为:晴雨表价格领导、支配型价格领导和低成本价格领导。在某些行业中,有时也会出现领导者经常变动的情况。
晴雨表价格领导 价格领导模式之一。作为价格领导者的企业不一定是该行业中规模最大或效率最高的企业,但它能够较为准确地预测市场行情的变化趋势,能够对市场上需求的变动或成本条件的变动作出合理的反应。其作用正像一个能够对天气变化作出敏感反应的晴雨表,故称。
低成本价格领导 价格领导模式之一。以成本最低的那家企业为价格领导者。当市场中厂商的成本之间存在较大差异时,成本较低的厂商通常具有竞争优势,因而扮演价格领导者的角色。
支配型价格领导 价格领导模式之一。当行业中由一家厂商占有支配地位的时候,通常这家企业就成为价格领导者,其他的规模较小的企业都成为跟随者。此时支配型企业在考虑到其他企业供给意愿的情况下,根据其自身利润最大化的准则来制定价格和产量,而其余的企业则被动地接受支配型企业制定的价格,并由此决定能使各自的利润最大化的产量。
博弈论 即“对策论”。
博弈 两个或两个以上的决策主体之间发生相互作用的行为时选择最佳策略以获取收益的过程。博弈论研究的对象。是相互作用情形的规范模型,涉及至少两个参与人。博弈的要素包括参与人、参与人的偏好、信息、可选择的策略行动和支付函数。根据人们的行为相互作用时,当事人之间能否达成一个具有约束力的协议,可分为合作博弈和非合作博弈。
博弈均衡
博弈的所有参与人最优策略的组合。一般记为
,其中
是第i个参与人在均衡情况下的最优策略,它是i的所有可能的策略中使它的效用或期望效用最大的策略。
完全信息静态博弈 博弈的一种基本类型。参与人同时选择行动,或虽非同时但后行者并不知道先行者采取了什么具体行动;同时,每个参与人对其他所有参与人特征、策略空间及支付函数有准确的认识。
完全信息动态博弈 博弈的一种类型。参与人的行动有先后顺序,且后行者能够观察到先行者所选择的行动;每个参与人对其他所有参与人的特征、策略空间及支付函数有准确的认识。
不完全信息静态博弈 博弈的一种类型。参与人同时选择行动,或虽非同时但后行者并不知道先行者采取了什么具体行动;每个参与人对其他所有参与人的特征、策略空间及支付函数并没有准确的认识。
不完全信息动态博弈 博弈的一种类型。参与人的行动有先后顺序,且后行者能够观察到先行者所选择的行动;每个参与人对其他所有参与人的特征、策略空间及支付函数并没有准确的认识。
囚徒困境 完全信息静态博弈的一个经典例子。假设两个嫌犯作案后被警察抓住,分别被关在不同的屋子里审讯。警察告诉他们:如果两个人都坦白,各判刑 8年;如果两个人都抵赖,因证据不足,各判刑1年;如果其中一人坦白另一人抵赖,坦白的放出去,不坦白的判刑 10 年。囚徒困境的策略式表述是:
每个囚徒都有两种策略:坦白或抵赖。纳什均衡是“坦白,坦白”:给定B坦白的情况下,A的最优战略是坦白;同样,给定A坦白的情况下,B的最优战略也是坦白。“坦白,坦白”是一个纳什均衡,也是一个上策均衡,即无论对方如何选择,个人的最优选择是坦白。囚徒困境反映了个人理性与集体理性的矛盾。如果两个人都抵赖,各判刑1年,比都坦白各判刑8年好。但这个帕累托改进做不到,因为它不满足个人理性要求,“抵赖,抵赖”不是纳什均衡。市场竞争中的价格战通常就是一种囚徒困境。
上策 对手采取任何策略的情况下都是最优的策略。
上策均衡
当对局者选择的都是上策时的均衡。如果对于所有的
是i的上策,那么战略组合
即为上策均衡。可表述为:不管你选择什么策略,我所选择的是最好的;不管我选择什么策略,你所选择的是最好的。
纳什均衡
完全信息静态博弈解的一般概念。正式定义为:有n个参与人的策略式表述博弈
,策略组合
是一个纳什均衡,如果对于每一个参与人
是给定其他参与人选择
的情况下第i个参与人的最优策略,即:
。可表述为:给定你的策略,我所选择的是最好的;给定我的策略,你所选择的也是最好的。
重复博弈 同样结构的博弈重复进行多次的过程。动态博弈的一种特殊形式。其中每次博弈都被称为“阶段博弈”。在重复博弈的情况下,企业在选择策略的时候不仅需要考虑当前的对局,而且还需考虑当前选择的策略对于以后的对局将产生怎样的影响。
反应曲线 描述寡头垄断者对竞争对手的策略作出最优反应的曲线。对应于竞争对手的每一策略行为,厂商以利润最大化为目标作出其最优策略的选择,其策略选择是对手所选策略的函数。将这一函数关系描述出来,就构成厂商的反应曲线或反应函数。
古诺模型
揭示寡头垄断厂商之间进行产量竞争基本特性的理论模型。法国经济学家古诺(Antoine Augustin Cournot,1801—1877)在 1838 年建立。假定在一个市场中只有两家企业进行竞争,即在一个双头垄断市场,同时假定企业生产的产品是同质的。企业的决策变量是产量,且假定两家企业同时决定企业的产量,每家企业都会猜测对方的产量,然后认定对方的产量是给定不变的。在这些假定下,每家企业都在给定对方产量的条件下追求自己的利润最大化。假定两家企业具有相同的不变单位成本c,需求函数为P = a -(q
1
+ q
2
),则可得到纳什均衡为
。
伯特朗模型 分析双头垄断市场竞争的理论模型。法国经济学家伯特朗( Jo seph Bertrand, 1822—1900)于 1883 年建立。假定两家企业的产品是同质的,企业之间的竞争是价格竞争,即企业的决策变量是价格。当一家企业确定其价格时,假定知道对手制定的价格并认为对手的价格是不会改变的。伯特朗模型的均衡具有与完全竞争均衡类似的特性。在假定两家企业的边际成本相同且均为常数的条件下,市场均衡结果将是,价格等于厂商的边际成本。伯特朗模型的结论被称为“伯特朗悖论”。意为只要市场中存在两家企业之间的竞争,就会出现与完全竞争市场相同的均衡结果,这种结果与现实不符。导致这一悖论的原因是模型的假设与现实情况差别太大。如果改变这些假定,伯特朗模型的结论也就不再成立。
差别定价 亦称“价格歧视”。企业生产的同一种商品在不同的场合索取不同价格的定价方式。不同的场合可指不同的消费者、不同的细分市场、不同的消费数量等。可分为一级差别定价、二级差别定价和三级差别定价。
价格歧视 即“差别定价”。
一级差别定价 企业对所销售的每一单位产品都索取最高可能价格的定价方式。此时消费者都按照其保留价格支付,从而消费者剩余为零。
二级差别定价 企业按照消费者所购买商品的数量来确定价格的定价方式。通常当消费者消费一定数量商品之后,企业会给予其更低的价格,其效果是刺激消费者更多地消费。实施的条件是,企业的平均成本曲线不断趋于下降。
三级差别定价 企业把市场划分为两个或多个不同的子市场,并将同一种商品在不同的子市场上按不同价格销售的定价方式。通常是,对价格弹性不足的消费者索取高价,对价格弹性充足的消费者索取较低的价格。实施的必要条件是,不同子市场之间是可分割的,即不会造成套利条件;不同子市场的需求价格弹性是不同的。
两部收费 企业除了向消费者索取“注册费”(固定费用)之外,还按一定价格(可变费用)向消费者销售其产品的非线性定价方式。消费者只有在支付了注册费之后,才能获得使用企业提供的服务或购买其产品的资格。
捆绑销售 将两种产品捆绑起来销售的销售和定价方式。纯粹的捆绑销售是只有一种价格,消费者必须同时购买两种产品。混合搭售则是一种菜单式销售,企业既提供捆绑销售的选择,也提供单独购买其中某种商品的选择。
市场失灵
市场失灵 由于某些原因,使得市场机制无法正常发挥作用,导致资源配置扭曲的现象。这些原因主要包括信息不对称、外部性的存在和公共物品。
自然垄断 亦称“自然寡头垄断”。某些产品和服务由单个企业大规模生产经营比多个企业同时生产经营更有效率的现象。如自来水、电力、电信等。由于存在着资源稀缺性和规模经济效益、范围经济效益,使提供单一产品和服务的企业或联合起来提供多数产品和服务的企业形成一家公司(垄断)或极少数企业(寡头垄断)的概率很高。
规制 在以市场机制为基础的经济体制条件下,以矫正、改善市场机制内在问题为目的,政府干预和干涉经济主体(特别是对企业)活动的行为。
经济性规制 在存在着自然垄断和信息不对称问题的部门,以防止无效率的资源配置的发生和确保需要者的公平利用为主要目的,通过被认可和许可的各种手段,对企业的进入、退出、价格、服务的质和量以及投资、财务、会计等方面的活动所进行的规制。
社会性规制 以保障劳动者和消费者的安全、健康、卫生,以及环境保护、防止灾害为目的,对物品和服务的质量和伴随着提供它们而产生的各种活动制定一定标准,并禁止、限制特定行为的规制。
激励性规制 作为解决企业发生内部无效率问题的对策,在既存的规制情况下,给予企业提高内部效率激励(诱导或刺激)的规制方法。
放松规制 放松和取消部分或全部规制条款的规制方法。其目的是为了向受规制产业引进竞争机制,通过竞争,提供多种新的服务,降低收费水平,使收费体系多样化,并促进技术革新等。
平均成本定价 规制者限制厂商价格的方式之一。以厂商实现收支平衡为条件。设企业的总收入为PQ,成本函数为C(Q),收支平衡式为PQ - C(Q) = 0,由此确定的定价即为“平均成本定价”。
边际成本定价 规制者限制厂商价格的方式之一。以实现帕累托效率的资源分配为目的,按照边际成本来决定收费的定价方式。从规范的角度来看它是最优的收费方式,但在自然垄断部门,由于规模经济性的作用,成本随产出量的增大而递减,采用边际成本定价将导致厂商出现亏损,因此需要政府给予补贴,或采用两部收费方法进行补偿。参见“边际成本定价法”。
柠檬市场 充斥着低质量商品的市场。在信息不对称的情况下,市场中会出现所谓“劣品逐出良品”的现象,从而将市场变成一个“次品”市场。通常用二手车市场加以说明。假设卖方掌握二手车的质量信息,买方则完全不了解。此时市场交易将按照二手车的平均质量进行估价,导致一些质量较高的汽车价格被低估而退出市场。市场中待交易的二手车的平均质量降低,买方的出价随之降低。如此多个回合之后,质量较高的二手车都退出市场,只留下质量较差的二手车。在极端情况下,二手车市场将消失。
逆向选择 在信息不对称的情况下,掌握私有信息的一方利用其有利地位来为自己谋求利益,造成以次充好、以假乱真的现象。
发信号 亦称“信号显示”。卖方通过发出某种信号向买方显示其商品质量的方式。其机制要能够起作用的必要条件被称为自我选择条件,即劣质产品无法把自己标榜为优质产品,而优质产品也不会模仿劣质产品。
道德风险 最大化自身效用的同时,做出不利于他人行动的现象。在信息不对称条件下,不确定或不完全合同使得负有责任的经济行为主体不承担其行动的全部后果。概念起源于海上保险,1963 年美国经济学家阿罗( Kenneth Joseph Arrow,1921— )将此概念引入到经济学中来,指出道德风险是个体行为由于受到保险的保障而发生变化的倾向。是一种客观存在的,相对于逆向选择的事后机会主义行为,是交易的一方由于难以观测或监督另一方的行动而导致的风险。
外部效应 亦称“外部性”。某个经济主体的消费活动或生产活动对其他经济主体产生的且并不通过价格机制起作用的影响。外部效应可以是正的,也可以是负的,前者为额外的收益,后者为额外的成本。外部正效应也称为外部经济,外部负效应也称为外部不经济。
外部性 即“外部效应”。
私人成本 企业生产所产生的局限于企业内部的成本。从整个社会角度来看,这种成本是一种私人成本。
社会成本 为提供某商品所花费的所有成本。企业生产可能带来的外部不经济造成一定的外部成本,即未明确地被企业计入的成本。从社会角度来说,为生产这种商品所付出的所有成本应该是企业的内部成本与相应的外部成本之和,这就是社会成本。可表示为:社会成本=内部成本+外部成本。
私人收益 企业销售所产生的属于企业的内部收益。从整个社会角度来看,这种收益也是一种私人收益。
社会收益 当存在外部经济的时候,由经济活动所产生的整个社会的收益。可表示为:社会收益=内部收益+外部收益。
私人物品 与“公共物品”相对。既有竞争性又有排他性的物品。
公共物品 与“私人物品”相对。同时具有非竞争性和非排他性两种特性的物品。
非竞争性 商品在给定了产出水平之后,多向一个消费者提供这种商品的边际成本为零的特性。
非排他性 商品在一旦生产出来后,就不能把任何一个消费者排除在这种商品的消费之外的特性。
灯塔 经济学家作为公共物品的典型例子。灯塔用来标出特殊的地方,以便过往船只可以避开有暗礁的水域。灯塔为船长提供的收益既无排他性又无竞争性,每个船长都有搭便车的激励,即利用灯塔航行而又不为这种服务付费。由于这个搭便车问题,私人市场通常不能提供船长所需要的灯塔。结果,现在大多数灯塔都是由政府经营的。
搭便车 不支付任何成本而获得某种收益或享受某种好处的行为。


