二、理论与模型 |
![]() |
(一)效率评价理论及模型
如前文所述,目前广泛使用的效率评价方法是数据包络分析(Data Envelope Analysis,简称DEA)。该方法采用数学规划方法对每一个决策单元生产投入层面或者产出层面的相对有效性进行评价。若基于投入层面分析的相对效率值为1,表明该决策单元投入有效。而当相对效率值小于1时,表明该决策单元投入无效率,即在保持产出水平不变的情况下可以通过改善纯技术效率或规模效率降低投入水平。本文的DEA基本模型将基于投入导向分别采用不变规模报酬模型(C 2 R)和可变规模报酬模型(BC 2 )测量决策单元的综合技术效率(TE)和纯技术效率(PE),并利用两者之间的关系得出决策单元的规模效率(SE)。具体的不变规模报酬模型(C 2 R)和可变规模报酬模型(BC 2 )构建如下:

其中,向量 θ c 表示决策单元的综合技术效率;向量 θ v 表示决策单元的纯技术效率; X i 和 Y i 分别表示决策单元 i 的投入向量和产出向量; λ 为各个决策单元被赋予的权重向量。
同时,为弥补不变规模报酬模型(C 2 R)和可变规模报酬模型(BC 2 )静态评估的缺陷,本文采用Malmquist生产率指数法对文化事业和文化产业发展效率进行动态评估,以此分别考察它们的全要素生产率变动以及分解情况,具体方法如下:

其中, M ( X t +1 , Y t +1 , X t , Y t )代表基于投入的全要素生产率指数(简称TFPCH),测度决策单元从 t 期到 t +1期生产率的平均变化情况,等于两期综合生产率变化的几何平均值。若该值大于1,则表明全要素生产率在 t 到 t +1期间是提高的,反之则下降; D t ( X t , Y t )为基于 t 期技术条件下 t 期的投入距离函数。最终,全要素生产率指数在总体上可以分解为综合技术效率变化指数(EFFCH)和技术变化指数(TECH),综合技术效率变化指数又可分解为纯技术效率变化指数(PEFFCH)和规模效率变化指数(SEFFCH)。
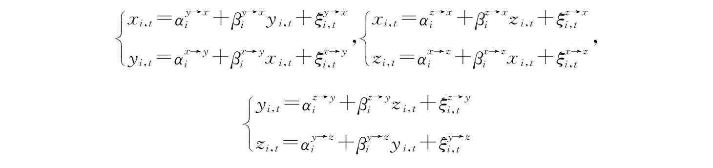
(二)财政支持与文化事业、文化产业的关联互动模型
为进一步检验财政支持与文化事业、文化产业三者之间的交互关系,本文在DEA和Malmquist生产率指数分析基础上,对所获得的一系列效率指数变化值进行单位根检验、协整检验和格兰杰因果检验,据此确定财政支持与文化事业、文化产业发展效率之间的因果关系方向(单向、双向和无因果关系)和类型(链形因果和环形因果)。在检验之前,构建模型如下:

其中,下标 i 代表地区, t 代表样本年度,箭头“→”代表因果方向,参数 α i 是各面板单位的协整关系中存在的固定效应, β i 为协整系数, ξ i ,t 为扰动项。 x 、 y 、 z 分别代表文化事业、文化产业发展效率和财政支持。
基于以上三组模型可以得到动态的面板误差修正模型,并进一步确定因果关系的方向和类型。因此,构建面板误差修正模型如下:

其中,以上三组面板误差修正模型中的Δ代表相应变量的一阶差分;
ect
i
,t-1
是面板误差修正模型中的误差修正项,对应等于前三组模型中的残差项即,
=
、
=
、
=
、
=
、
=
、
=
;
λ
i
,j
、
θ
i
,j
、
γ
i
,j
为待估参数,其中
θ
i
,j
、
γ
i
,j
为短期因果系数,此处可用
γ
i
,j
参数估计值的显著性来判断相应变量在短期中是否存在因果关系,而变量之间长期的因果关系在协整和格兰杰检验基础上,可参考误差修正项
ect
i
,t-1
中对应参数估计值
β
i
的显著性进行判断;
λ
i
,j
为调整速度;
p
为滞后阶数,可根据相关准则(AIC、BIC等)确定最优滞后阶数;
ζ
i,j
代表残差项。