三、 理论模型
本文以新古典理论为基础建立数理模型,对金融抑制政策、民营经济发展及经济增长等问题进行数理化分析。对于发展中国家而言,城市化进程尚未完成,农村劳动力正在由传统部门向现代部门流动,因此现代部门拥有大量的人口红利,可以借此制定较低的工资并获得资本积累。根据Galbis(1980)、Baumol(1985)将经济部门根据技术水平、要素密集度等划分为两大部门的研究方法,本文根据国情以所有制将企业大致分为国有经济和民营经济两大部门。同时,由于发展中国家政府往往采取赶超战略,对金融采取垄断控制,并制定偏向于政策倾斜企业的利率结构,可以说,中国的金融抑制,实际上是一种利率抑制加“双轨制”,即国有工业部门享受低廉并且足额配额的利率,而民营部门则面对高利率并稀缺的贷款资源。
因此,本文对模型采取如下假设:(1)企业以Cobb-Douglas生产函数进行生产,且不存在规模效应;(2)消费者为Cobb-Douglas型效用函数;(3)政府制定利率,且国有与民营企业利率不相同;(4)城镇劳动力市场中企业有更强的市场势力,具有更高的议价权;(5)企业根据生产的边际成本,以一定的利润加成制定产品价格;(6)同一产业内所有企业面对相同的要素价格与产品价格,且价格水平具有一定黏性。
同时设定变量i=1,2分别代表国有经济部门与民营经济部门;A i 、L i 、K i 、Y i 分别代表两部门的技术水平、企业劳动力、资本存量与总产值;w i 、r i 、P i 分别代表两部门的名义工资、利率与产品价格。
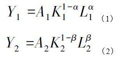
设生产部门两部门的生产函数分别为
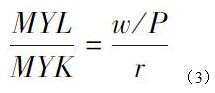
根据新古典边际理论,在最优化生产时,企业根据政府制定的利率、市场中价格等外生条件选择资本、劳动力进行生产,此时,
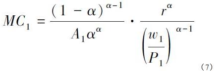
以部门1为例,由(3)可推出
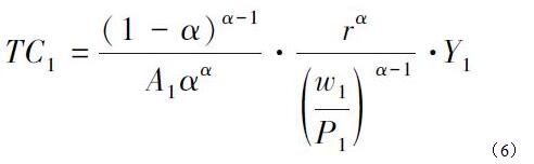
企业生产总成本为
TC=rK+wL(5)
将(1)(4)代入(5)中,可得到
用产出对总成本求导得到边际成本:
可见产品的边际成本由技术水平、价格水平等因素决定且与产量无关。正如Lewis-Fei-Ranis模型所述,发展中国家拥有巨大的人口红利,现代部门可以通过压低工人工资获取正的利润,达到资本积累和扩张的目的,从而实现经济增长。因此本文假设,厂商在市场上具有一定的垄断定价权,可以制定有利于自己的工资价格与产品价格。方便起见,假设两部门分别以利润率π 1 、π 2 制定价格:
P i =(1+π i) MC i (i=1,2)(8)
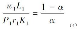
现在考虑消费者。设消费者对国有经济与民营经济产品的需求分别为X 1 和X 2 ,消费者对两类产品的效用函数为
(9)
消费者的收入为M,预算约束为
P 1 X 1 +P 2 X 2 =M(10)
根据新古典经济学消费者理论,在效用最大化时消费者对两种产品的支出比例是固定的:
(11)
在产品市场供需均衡时,
Y i =X i (i=1,2)(12)
设S为国有经济与民营经济的比值,则在一般均衡时,
(13)
将(7)(8)代入上式中,有
(14)
设系数
,k为常数。
则产业结构可表示为
(15)
由于政府采取偏向于国有企业的金融抑制政策,国有经济部门可以享有更为优惠的金融支持。根据林毅夫的定义及其他学者的相关研究,本文以两部门的利率比值代表金融抑制程度。设金融抑制系数为φ,经济体的金融抑制越严重,系数就越大。两部门利率关系为
r 2 =φr 1 (φ>0)(16)
同时引入时间t,在经济动态发展的视角上解释金融抑制对经济体在长期发展过程中所产生的影响。根据摩尔定律,本文假设技术以指数型进步。设两部门的技术进步率分别为a 1 和a 2 ,则生产技术的动态形式为
(17)
设劳动力可以在两部门间自由流动,即本文暂不考虑劳动力市场分割的情况。则有
w 1t =w 2t =w t (18)
根据(15)(16)(17)与(18)可知,
(19)
在政府采取偏向于国有经济的金融抑制政策后,金融抑制系数φ会大于1。由于β>0,φ的提高会对S t 产生正向的影响。也就是说,金融抑制政策会提高国有经济在产业中的占比,且抑制越严重,产业扭曲程度越大。也就是说,长期的金融抑制会阻碍民营经济的发展,阻碍经济改革的顺利进行。
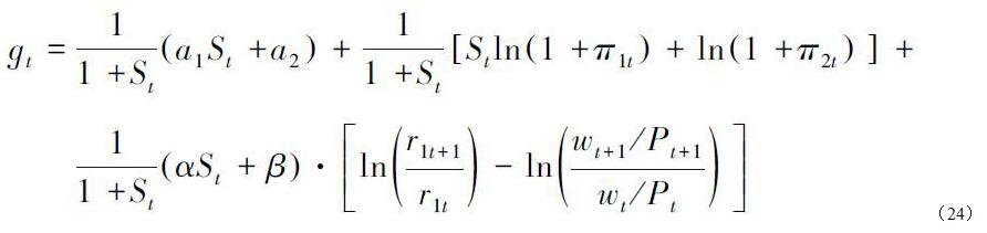
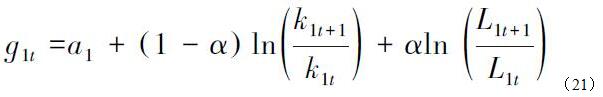
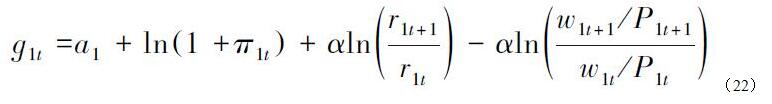
设整体经济、国有经济部门和民营经济部门的经济增速分别为ɡ t 、ɡ 1t 和ɡ 2t ,且它们之间的关系为
(20)
由于
,代入生产函数,以部门1为例,化简得
根据前文假设,两部门分别以π 1t 、π 2t 积累资本,且以最优的资本劳动比生产。
将(4)式代入上式,有
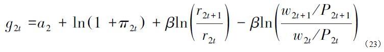
在不考虑部门间实际工资差距,且两部门利率关系保持为r 2 =φr 1 时,将以上两式代回(20)中,得到
根据这个增长函数,经济增长可以分为三个部分:技术进步、资本积累和资本与劳动的分配关系。二战后的发展中国家,大多受到结构主义的影响,通过压低利率和工资来获得较高的资本积累,实现国有重工业的快速发展。而在后期,随着利率市场化的推进,利率水平逐步回升;同时,由于人口红利的消失,劳动力实际工资也开始上涨。本文暂不考虑利率与实际工资的增长关系,重点关注公式中的前两部分。
在经济增长前期,由于国家重点支持国有经济发展,国有经济由于具有政策、资本等优势,相对于民营经济有更高的资本积累率和技术进步率。此时较高的S t 会带来暂时的经济高速发展。然而,由于传统国有经济部门往往缺乏比较优势,且在长期中民营经济技术进步能力不断提升,经济发展到后期,靠扭曲价格获得高资本积累的发展模式难以为继,经济体开始转向以技术进步驱动发展的模式。此时,实行扭曲利率的金融抑制政策会阻碍经济结构的调整,使S t 保持在较高的水平,进而降低经济增长速度。 [1] 也就是说,金融抑制政策在经济发展初期可能会促进经济增长,但在长期中会降低经济增长速度,阻碍一国经济发展。
[1] 在经济发展后期,主要考虑(24)式中第一部分技术进步带来的经济增长。由于金融抑制φ与经济结构S t 成正比,在a 1 <a 2 时,S t 与ɡ t 成反比,故φ的提高会使ɡ t 下降。


