四、经济增长与贫困减少的关系研究
尽管经济发展并未消除全球范围内的贫困难题,但长期以来,关于经济增长与贫困减少之间关系的探讨研究始终受到国内外学者的广泛关注。
目前,大多数的实证研究基本认可了长期经济增长有助于贫困减少这一事实,两者之间的相互作用则大体可拆分为直接效应与间接效应两个部分:前者是指经济增长为所有人群包括贫困人口创造了更多的就业机会和收入来源,后者则表明经济发展使政府部门获得了更多的财政收入,从而提高了政府制定政策去补贴贫困人口的能力
。此类实证研究一般从不同角度展开多方位解析,例如采用跨国界分析
、跨时间序列比较分析
以及使用家庭居民调查数据来估算贫困演化状况
等。长期的实证研究与扶贫经验表明,经济增长确实具有一定的减贫效应,但值得注意的是,由于经济增长过程中政策偏好、增长质量、经济结构以及市场效率等多重主客观因素均会对这一过程产生不同程度的干扰或影响,因而经济增长只作为贫困减少的必要条件,并不具备充分性
。
(一)减贫理论概述
国外学者在研究贫困问题的同时,也对减贫的对策进行研究:一是“贫困恶性循环”理论的提出者R.纳克斯(1953)指出发展中国家要解决贫困问题,必须由国家出面进行大规模的资本投资,是摆脱贫困现象的有效解决途径。二是提出“低水平均衡陷阱理论”的经济学家R.R.纳尔逊通过对不发达国家的人均资本以及人均增长等之间的关系进行考察研究,并结合纳克斯的“贫困恶性循环”理论,进一步强调资本形成对摆脱“低水平均衡陷阱”的决定性作用。三是世界著名的“循环积累因果关系”理论的提出者冈纳·缪尔达尔结合其对一些具有代表性的亚洲贫困国家的考察,认为发展中国家的反贫困斗争要从权力、教育与土地之间的关系来进行改革。四是经济学家西奥多·W.舒尔茨( Theodore W.Schultz)针对穷人问题提出了人类资本理论和传统农业改造理论,奠定了穷人经济学理论。在《论人力资本投资》中指出造成贫困的原因不是物质方面的缺少,而主要在于国家对人力资源的忽视,以及社会人力资源无法进行充分运用。五是保罗·罗森斯坦·罗丹指出贫困国家要致富须通过国家主导,竭尽全力支持各部门的生产和发展,进行全面投资,冲破市场狭小的负面影响,促进国家经济的发展。六是阿玛蒂亚·森认为要摆脱贫困,就必须发展生产力。他在生产方式对贫困的影响方面进行了深入的研究,认为贫困是缺少生产力造成的。
具有代表性的理论如下:
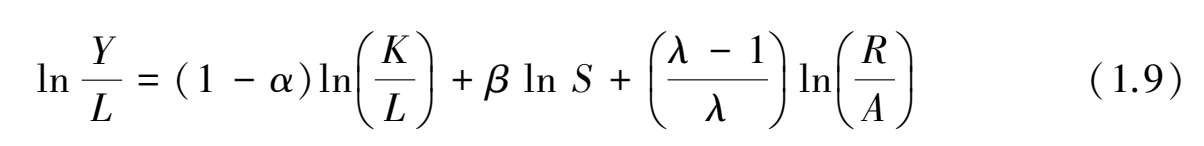
1.经济集聚减贫理论
经济集聚是通过分享( sharing)、匹配(matching)、实践中学习( learning by doing)这三种机制来对劳动生产率产生影响的。
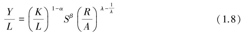
其中,
Y
是地区的总产出水平,
L
则代表了劳动投入数量,
K
代表了资本投入数量,
S
代表经济结构状况,
R
代表区域内的GDP总值,
A
代表地区的总面积大小,
衡量经济集聚对产出的作用。
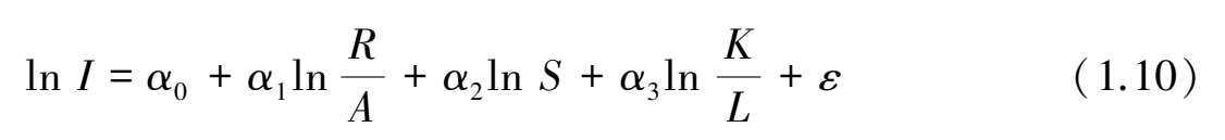
其中,
I
代表农民人均收入,
代表资本密集度。
基于研究成果发现,在经济密度高的区域范围内聚集了更高收入的集体,经济集聚发生规模效应就是通过“经济集聚—劳动生产率上升—经济持续增长—收入获得提振”机制对减贫起到有效作用。
2.经济发展、收入不平等分配的减贫理论
地区贫困发生率变动由各地区经济增长水平、收入分配水平、政府公共财政投入、工业化发展、城镇化水平以及其他变量的作用而改变。
其中, P 为区域贫困发生状况, Y 、 G 、 N 为主要解释变量,分别表示地方经济发展水平、区域内收入分配差距和产业结构水平等情况; F 、 U 为与地方贫困发生相关的一组控制变量,分别表示公共财政投入能力、产业结构水平和城镇化发展水平; ε 代表不可观测的地域特征。
为了减弱数据的不稳定性和异方差性,对 P it 、 Y it 、 G it 、 X it 取自然对数,则经济增长和收入不平等状况的减贫机制可以表示为如下回归方程:
其中, P it 为区域贫困发生率, Y it 为区域经济发展水平, G it 为区域收入分配不平等水平, X it 为一组控制变量, λ 为变量系数; ε it 为误差项。
3.产业经济增长减贫理论
大量实证研究已经发现,长期经济增长有利于贫困缓解,但经济增长内部的不同产业增长所带来的减贫效果却并不完全一致。为进一步考察三大产业部门经济增长的减贫效果,将经济增长分解为三大产业的增长,综合分析不同产业的经济增长减贫效应,构造如下产业减贫模型:
式中, I 1it 、 I 2it 、 I 3it 分别表示第一、第二、第三产业的人均产值, R 1it 、 R 2it 、 R 3it 则分别表示各个产业产值占GDP的比重。
减贫的对策方面,我国学者也提出了很多不同的观点。具体来说,包括以下几个方面:一是制度创新论。反贫困是世界各国的共同行动,也是我国政府的一贯方针。为了适应经济全球化和世贸组织的要求,中国必须加大反贫困的力度,不断创新和完善反贫困制度体系。在反贫困实践中,有效的制度体系必须以观念创新为先导,以反贫方式和手段创新为核心,以法制完善和创新为保证,整合各种创新要素,充分发挥反贫困制度体系的整体效应。二是因地制宜论。有学者认为,农业资源丰富的贫困地区应该大力发展大农业及农副产品加工业;在矿产资源丰富的地区要主攻第二产业;在人口多资源不丰富的地区应组织劳务输出。三是素质提高论。经济社会发展的核心环节是不断提高劳动者的素质,为此要开发贫困地区人力资源,不仅要重视教育投资,培育贫困地区紧缺的技术人才、技术骨干,还要通过各种优惠政策,吸引外地优秀人才投入本地的扶贫工作。四是科技扶贫论。重视依靠科技脱贫。贫困地区要发展,必须立足当地资源,而当地资源长期未能得到很好开发利用的根本原因就在于科技的落后。
(二)世界范围内经济增长与贫困减少的关系研究
由于经济增长所带来的减贫效应具有重要的政策效益与实践价值,因此针对经济增长与贫困减少关系的研究始终成为世界范围内学者争论与探讨的焦点。
Tangri和Jagdish
认为一个国家或地区的经济增长(Economic Growth)对当地贫困率的削减具有最主要的决定性影响。进一步地,如果想要有效地缓解贫困现状,则必须创造出有利于整体经济快速增长的大环境。 Dollar与Kraay
也同意这一观点,认为经济快速增长是减少贫困的关键所在。同时,研究还表明,经济的增长会给所有人群包括贫困人口带来发展的好处,并且政府实施的任何经济干预政策都不会对贫困人口的收入上升有任何倾向性,因而经济增长政策或是扶贫政策只要专注于经济增长本身就已足够。但他们在政策方面的结论受到了其他学者的批判和质疑。因为越来越多的学者认为,关于经济增长与减少贫困之间的联系还受到更深层次因素的影响。比如,Ferreira和Barros
,Bourguignon
, Ravallion
, Ravallion和Chen
均明确指出,经济增长与贫困之间存在错综复杂的联系,经济增长性质不仅只是经济增长速度影响减贫进程,也可能是地区内部经济增长质量的原因,即地区内经济增长结构、收入分配状况变化等相关方面的关系。
1.收入分配状况的减贫差异性研究
Kakwani和Pernia
通过研究发现,伴随经济增长过程的收入分配状况对贫困减少有着非常重要的作用。正如World Bank
曾指出,贫困人口究竟能从经济增长的“涓滴机制”(trickle-down mechanism)中共享到多少发展成果却往往要依赖于许多条件,包括收入分配的平等化状况、私人财产归属权利以及具有特殊倾向性的政策补贴等。而在经济领域研究中,经济增长和收入分配之间的关系本身就是一个重大课题
。如果经济增长的过程伴随着收入分配的贫富两极分化,那么国家或地区的贫困现状就无法得到缓解,甚至反而可能产生进一步的恶化
。
2.城市化水平的减贫差异性研究
目前关于城市化对于贫困状况的作用仍存在较多争议。较早的是Lewis
和Kuznets
认为,城市化促进经济增长、改善收入分配方式,从而达到良好的减贫效应。而与之相反的是,Myrdal
在《经济理论和不发达地区》专著中指出,城乡的诸多差异性并不是通过要素的流动而逐步弱化,相反由于城乡差距进而引起“累积性因果循环”,导致马太效应,即城市区域发展更为迅猛,广大农村地区则陷入“贫困的恶性循环”。
Ravallion
根据39个国家的跨国数据以及针对印度人口的时间序列数据研究发现,发展中国家在城市化过程中,贫困人口向城市集中的速度要快于城市化速度,从而造成发展中国家的农村贫困迅速蔓延至城市。 Ravallion
又指出,目前四分之一的贫困人口居住在城市,且这一比例仍在继续上升。城市化减少贫困人口总数的效果确实比较显著,但对减少城市贫困的效果则不显著。Mahmood和Rana
也指出,孟加拉国已经步入了快速城市化阶段,农村贫困问题也随之转向了城市——基础设施服务和基本生活福利的不足、环境恶化、社会暴力等已经成为快速城市化进程中的主要挑战。
3.贫困者状况的减贫差异性研究
由于贫困是多因素所呈现出的现象,只使用单一指标实施扶贫工作并不恰当
。即使是相同的经济增长率,也会在贫困减少方面产生很大的差别,这就意味着一些国家的经济发展更具有偏向于贫困人口的发展特征
。例如在对巴西的研究案例中,Menezes-Filho与Vasconcellos
就强调了益贫式经济增长中教育的重要性;而Grosse等人
则采用1989—1998年玻利维亚的统计数据,研究了贫困者的教育背景、死亡率、疫苗接种、发育状况以及多方面福利措施等非收入性指标的改善是否更有利于贫困状况的缓解。
4.时间动态效应的减贫差异性研究
在时间动态效应方面,相关研究发现:经济增长对贫困的长期效应与短期效应是十分不同的
。依靠市场机制形成的经济增长在短期内往往扩大了贫富差距,增大了贫困人口的生活压力,而在长期中根据库兹涅茨假说,贫困人口获得了更多的就业与创收机会,反而有助于贫困状况的有效缓解。此外,初始财富的不平等状况也会影响之后贫困人口分享经济增长的程度,从而导致较为低效的减贫效果。
5.经济增长部门构成的减贫差异性研究
在经济增长部门构成方面,产业部门构成逐渐成为近年来重点研究的方向。 Ravallion与Chen
发现相比于制造业和服务业,农业部门的经济增长具有更好的减贫效应。许多学者对一些发展中国家也进行了实证研究。比如,Suryahadi等人
对印度尼西亚进行研究发现,乡村农业经济增长与农村地区的减贫绩效是高度相关的;Ravallion与Datt
对印度的贫困演化研究显示,在1951—1991年,工业部门增长与贫困状况并没有直接联系,而农业与服务业的发展在城市和乡村都具有一定的减贫作用。 Ferreira等人
则研究了南美洲国家巴西在1985—2004年的状况,发现减贫效应确实存在着不同部门、不同地域之间的显著差异。但在巴西,服务业的快速增长对减贫的效果最佳,优于农业部门或是制造业部门。地区之间的差异性主要体现在人口增长与公民权利的初始状况等因素的不同。此外,还有大量的跨国界实证研究也进一步证实了,经济增长中产业部门构成对贫困状况的缓解有重要作用
。
(三)中国经济增长与贫困减少的关系研究
在众多发展中国家的减贫进程中,中国获得了国内外学者的重点关注。基于中国过去四十余年为世界减贫事业做出的巨大贡献,研究中国情况、解决中国问题成为国际扶贫课题的经典范例。总体而言,近十几年来中国的整体经济增长与贫困发生率的变动基本呈现出显著的负相关关系,如图1.5所示。中国目前的扶贫多为自上而下的模式,即政府部门主导为先,贫困人群参与为后,并在实践过程中将减贫区域与扶贫目标逐步精细化、精准化,业已取得显著成效,尤其中国过去十几年来的减贫成果更是受到国际社会的称赞与肯定。
图 1.5 2000—2019年中国人均GDP与贫困发生率的变动趋势图
注:贫困发生率数据来自《中国农村贫困监测报告 2020》,无2001—2004年度和2006—2009年度的数据;全国人均GDP数据来自国家统计局网站。
尽管自20世纪80年代以来中国拥有令人瞩目的经济表现与减贫成绩(表1.4),中国目前仍存在着较多棘手的发展难题。例如,Martin Ravallion与Shaohua Chen
的研究发现,中国反贫困的斗争历程尽管成绩卓越,但其过程并不完全顺利,减贫成效曾在20世纪80年代末至90年代初停滞,并且不同省份的减贫效率体现出较大的差异性。同时,中国经济发展的进程也呈现出不平衡状态,尤其是农业部门的发展显著地落后于其他产业部门
。此外,不像其他发展中国家,中国具有较高的收入差距现象,而中国收入分配不均程度的继续加剧将拖累中国整体贫困状况的改善
。针对经济增长的减贫效应分析,Montalvo和Ravallion
通过省级面板数据分析了自20世纪80年代以来中国经济增长的减贫绩效,其研究结果发现,这一时期的发展进程在时空上都呈现出不均衡状态。一方面,经济增长模式影响着贫困不均衡程度的变化趋势;另一方面,贫困不均衡程度也影响经济增长的状态。
表1.4 “十五”和“十一五”时期绝对贫困人口减少状况
数据来源:《中国农村贫困监测报告》(没有标注年份的是根据多个相关年份的《中国农村贫困监测报告》整理的。下同。)。
在经济增长部门构成方面,第一产业尤其是农业部门成为中国减贫工作的主要着力点。这一点与之前国外学者分析的印度状况是极为相似的。张萃
也研究发现,虽然三大产业的增长都是中国经济增长的重要源泉,但就反贫困方面,第一产业与第三产业增长的减贫效应非常显著,而第二产业的减贫效应则显得较为微弱。
在经济体制机制方面,由于中国经济进入转型升级时期,必然会引入更多的市场经济机制。这一动态的转型过程不可避免地将在短期内提升贫困发生率,引起收入不平等现象的加剧。然而随着时间的推移,只要经济增长率足够高速,届时,经济增长效应以及分配效应势必将会有效提振中国整体的减贫成效
。目前中国的收入分配结构倾向于高收入群体,低收入群体处于较为不利的地位
。因此,新时期的扶贫工作必须考虑改善国内收入差距状况,从而保持中国反贫困事业的持续性进步。
在城乡二元差异性方面,Bourguignon和Morrison
明确表示,在发展中国家,影响贫困状况的潜在的重要元素就是城市与农村收入之间的差异程度。由于我国目前处于经济社会的转轨时期,存在着明显的二元经济结构特征,因此,对我国贫困问题的研究也最好是在考虑城乡二元结构的前提下进行。显然,忽略城乡人口流动会使得我国贫困变化过程及动因的估计出现偏误。
在对外贸易领域,实证研究发现,中国东部沿海地区与中西部内陆地区商业贸易自由化程度的提高,均能通过促进区域经济的增长,从而显著地缓解贫困状况,但是相比于东部沿海地区,中西部内陆地区发展自由化贸易显然对减贫效果具有更好的边际效应
。
综上所述,根据2018年的研究,进入新时期以来,由于中国的经济体量与发展规模日益庞大,中国经济逐步进入转型换挡期,中国的进一步减贫工作必然受到更大压力和挑战。如何让改革发展的成果更好地惠及贫困人口,如何进一步消除绝对贫困,都是未来中国亟须面对的严峻课题。与此同时,中国内部的经济结构与贫困群体都具有一定的异质性特征,针对不同的贫困势态,势必提出具有针对性的减贫措施。这意味着在经济下行的大背景下,未来中国贫困的缓解越来越依赖于更好地研究中国情况、阐明中国问题,才能在新时期制定出更具针对性的扶贫政策与减贫措施,有效实现扶贫脱贫的良性循环。


