一、贫困概念、指标及减贫理论概述
贫困问题的研究绝不仅仅是理论或技术上的难题,更是关系到社会公平与经济效率平衡的长期化、动态性探究。因而,贫困概念的界定、贫困测度指标的选择以及相应贫困线的划定都具有深刻的历史性与多维性,同时在一定程度上反映了社会文明发展的进程,体现出社会经济发展的短期目标与长期方针均衡的博弈过程。
(一)贫困概念界定
近百年以来,各国学者从不同的角度对贫困概念不断做出更深入、全面的诠释与理解,相关学术研究取得了较为长足的进步与发展。贫困概念的科学解释也由最初的收入或物质贫困,逐渐扩延至能力贫困,并在此基础上提出“广义福利贫困”等多维度贫困概念。同时,随着贫困研究的不断深入,贫困状况的界定也不仅仅局限于客观的统计数据,它还关注并评估个人经历、感情及自由度等感知因素,因而出现了客观贫困与主观贫困之间的概念区分。不过,从主观度量来研究贫困具有较大的局限性,它无法比较不同地区之间的贫困状况,进而不能为相关的公共政策措施提供较客观的决策依据。因而,本章将主要介绍以下几个贫困概念的界定:
1.绝对贫困与相对贫困
绝对贫困的概念最早是由19世纪末英国学者S.朗特里(S.Rrowntree)在其著作《贫困:城镇生活的研究》( Poverty : A Study of Town Life )中提出的。其定义的核心是最低生理上的生存需要:食物、衣着、住房与医疗。而随着对贫困研究的不断深入,逐渐将最低生理需要扩展为人的基本需要。此时,除了生理上的基本需要,还包括其他的基本需要等,例如接受教育、参与娱乐等方面的需求。
尽管绝对贫困的界定是以基本的生理需求作为其基础,但在不同的时空下却并不是一成不变的,基本需求的确定往往会具有显著的时空特性。而且,不同时期或不同民族的人群对它的理解程度和定义也会产生很大的差别。因此,这是一种相对的绝对贫困。
直到20世纪60—70年代,开始有学者关注相对贫困。其中,最早明确提出相对贫困概念的是来自美国斯坦福大学的学者维克托·法克斯( Victor Fuchs)。法克斯认为相对贫困是通过社会的平均生活状况来衡量的,如果一个人或者一个家庭以收入或消费衡量的生活状况低于社会平均水平并达到某个程度,则可认定其为贫困。因此,由相对贫困的定义可知,它与实际生活水平并无联系,它只是不同个体之间相对收入或生活水平的相对比较而已。相对贫困与社会经济发展水平无关,而仅仅与收入差距有关,只要存在着收入差距,就存在低收入的阶层,贫困就无法消除。因而,绝对贫困是可以随着经济增长以及社会发展水平的提高而削减的;相对贫困却只能随收入不平等现象的减少而随之缓解,并最终依据人们收入的完全均等化而根除。目前,发展中国家一般使用绝对贫困概念进行贫困测度,而欧美等发达国家则大多采用相对贫困概念。
2.能力贫困
诺贝尔经济学奖获得者阿玛蒂亚·森(Amartya Sen)首次提出以能力视角来认识贫困这一概念。他认为,收入或消费水平低只是贫困的一种结果,而并不成为贫困的真实状态,贫困本质的解释不能以经济资源占有的多寡为标准,而是要以人们取得收入、社会地位及其他生活条件的能力为出发点。阿玛蒂亚·森坚持认为,衡量贫困的标准就应该是个人的福祉高低,它表现在能力的剥夺以及机会的缺失方面。根据此定义,能力由一系列的个体功能所构成,那么功能的丧失既是贫困的表现,也成为贫困产生的根本原因。因而,界定一个人或一个家庭是否贫困可直接观测这一系列功能是否有缺失,又在多大程度上存在缺失。由于该种判断具有一定的主观性,同时如何在个人及家庭之间进行贫困的比较也存在较大困难,因此,该定义往往出现于定性式贫困解释,而无法用作定量标杆。
3.本书对贫困概念的界定
综上所述,贫困的定义是从最初的基本生存需要扩展到基本生活需求,再进一步发展到社会生活层面及精神领域的贫困描述。因此,人们对贫困的概念认识是动态的、历史的,随着时间的推移人们将对其产生更新、更深刻的理解。
本书对贫困概念的定义主要专注于考察物质方面的贫困状态,而不多涉及精神领域的方面。因为中国作为世界最大的发展中国家,物质收入或消费层面的贫困依然是中国贫困问题的主要难题。针对人群收入状况进行贫困线划定从而剥离出贫困考察对象,是本书研究贫困的主要界定方式。同时,这一界定方式也属于相对贫困的范畴,它提供了较全面地把握中国各地区人群收入状况的客观视角。
(二)贫困指标测度
1.一维贫困测度法
一维贫困测度法立足于绝对贫困和相对贫困的概念界定,主要通过划定一条既定贫困线来衡量个人或者家庭是否处于贫困状态。该测量方法主要有如下几种:
(1)收入比例法
该方法的提出以相对贫困为理论基础,将贫困线标准设定在一定时期社会平均收入水平的一定程度下调比例上。根据各国的实践经验,一般将比例区间设定为50%~ 60%。该方法的贫困标准设定较为简单易得,只需知晓某一地区居民平均收入水平就能通过比例下调得到该地区的贫困线。
(2)恩格尔系数法
该方法是基于恩格尔定律(Engel’s Law),从而对恩格尔系数进行界定:恩格尔系数=饮食消费支出/收入。假定利用某一恩格尔系数值设定某一地区的贫困水平,根据营养协会的营养标准及营养报告数据,计算出最低的食品消费支出水平,通过对恩格尔系数计算公式的变换,计算出最低收入的保障水平,就得到所求的贫困线。
(3)ELES法
第三种测度一维贫困的方法是ELES法。
其中, p i , q i 分别表示第 i 种物品的价格和需求,包括基本和非基本需求, r i 表示第 i 种物品的基本需求量, I 表示收入, β i 表示第 i 种物品在消费支出中所占的比重。用 PL 表示以货币形式表示的最低收入保障,则贫困线为
令
,则可以得到:
根据统计数据分组收入和消费支出数据,运用OLS方法,求出参数 α i , β i ,进而求出贫困线。
2.多维贫困测度法
在多维贫困测度法中,基于对维度选择、权重确定以及综合指数合成等关键理解的差异,现已形成一系列多维贫困测度方法。本节仅对影响深远、应用广泛的几类方法进行阐述。
(1)Watts方法
该方法的测算公式为:
其中, P W ( X , Z )代表贫困强度, H 代表贫困人口占总人口的比重, P W , GAPi 代表相对贫困标准线而言,贫困人口在维度 i 上的平均相对福利的短缺, L gi 代表维度 i 上贫困人口的Bourguignon-Theil不平等指数, ρ 代表不同贫困维度间的相关系数, w i 代表贫困维度 i 相应的权重。
(2)A-F贫困“双重识别”法
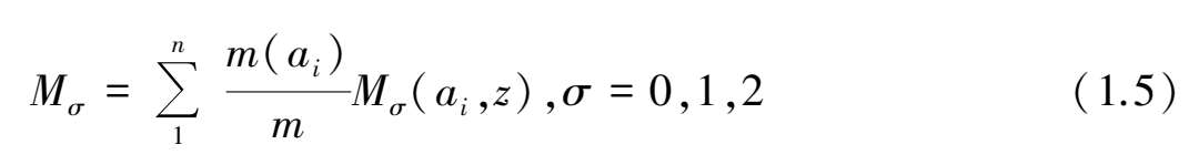
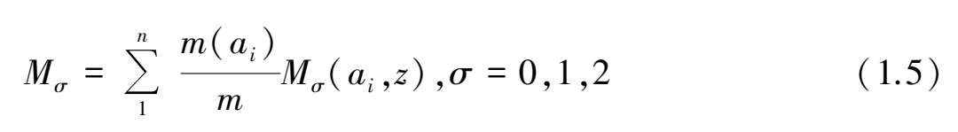
A-F方法可分为识别、加总和分解三个步骤。在贫困识别阶段,假定 Z i =( z 1 , z 2 ,…, z i ) τ 为特定维度能力剥夺的临界值,对于每个个体当其福利水平 x ij < z i 时,意味着个体福祉在 i 维度上丧失。贫困加总建立在FGT方法之上,在该阶段产生三个参数,分别为: M 0 = HA , M 1 = HAG , M 2 = HAS ,其中, H 为贫困发生率; A 表示贫困个体受剥夺的平均份额,即贫困平均强度; G 为贫困平均距; S 为贫困平均距的平方,强调最大贫困平均距的影响作用。第三阶段,基于多维贫困可分解性,上述三组参数可作如下分解:
其中,
a
1
,
a
2
,…,
a
n
表示不同的维度,
表示维度
a
i
的人口占总人口的比重。
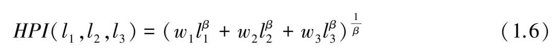
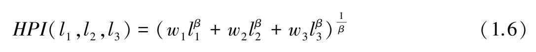
(3)HPI法
其中, l 1 , l 2 , l 3 分别对应三个维度, w 1 , w 2 , w 3 是相应的权重系数, β 则是三个维度相互关系的调节系数。
这三种方法的归纳如表1.1所示。
表1.1 多维贫困主要测量方法之间的区别
综上所述,根据测算出的贫困线标准,能够得到以下常用的贫困指标:贫困发生率(Incidence of Poverty)、贫困缺口(Poverty Gap)等。
第一,贫困发生率。贫困发生率是指根据贫困线划定的贫困人口占总人口的比重,它是世界上衡量贫困程度的最基本指标。其公式为: H = q /n 。其中, q 是指贫困人口的总数, n 是指总人口的数量, H 就是贫困发生率。这一指标较为直接地体现了贫困现象存在的广泛程度。
第二,贫困缺口。贫困缺口是指贫困人口收入与贫困线标准的差距,它衡量了贫困人口收入低于贫困线标准的程度。其公式为:
I =
。其中,
z
是指贫困线标准,
q
是指贫困人口的总数,
y
i
是指其中第
i
个贫困者的收入值。由上式可知,
I
处于[0,1]这一区间中,且其值越大,贫困现象越严重。这一指标主要体现了贫困现象存在的强度,但对于贫困人群内部的收入分布状况不敏感。
(三)贫困理论概述
马克思较早从制度分析的角度对贫困与反贫困问题进行了研究。马克思认为:“工人人口本身在生产出资本积累的同时,也以日益扩大的规模生产出使他们自身成为相对过剩人口的手段。也就是资本主义生产方式特有的人口规律。”因此,失业和贫困是资本主义制度的产物。后来瑞典经济学家卡尔·冈纳·缪尔达尔(Karl Gunnar Myrdal)也持这一观点,缪尔达尔在1968年出版的著作《亚洲的戏剧:对一些国家贫困的研究》一书中认为,贫困的根本原因在于社会结构上或制度上的差异,正是由于这种差异的存在,滞后、短缺、过剩成为不发达国家经济的普遍现象。因此,应当对不发达国家的经济问题进行结构性或制度性的改革。
另外一些经济学家从经济学的角度对贫困问题进行了经济制度的解释。他们认为,贫困产生的根本原因主要在于经济制度,特别是资本制度,如罗格纳·纳克斯(Ragnar Nurkse)的“贫困恶性循环”理论、R.R.纳尔逊(R.R.Nelson)的“低水平均衡陷阱”理论、冈纳·缪尔达尔的“循环积累因果关系”理论、保罗·罗森斯坦·罗丹(Paul. Rosenstein-Rodan)的“大推进的平衡增长”理论、阿尔伯特·奥图·赫希曼(Albert Otto Hirschman)的“不平衡增长”理论等。相关理论认为,发展中国家之所以贫困,是因为其经济中存在着若干个互相联系、互相作用的“恶性循环系列”,其中主要是“贫困恶性循环”起重要作用。因此,反贫困制度创新的具体路径在于如何打破恶性循环,使生产效率提高,从而增加贫困人口的收入,使他们走出贫困的困境。
我国不同学科的学者也从不同角度对贫困根源进行了广泛的解释,形成了不同的贫困解释范式。吴忠从人口学、经济学、社会学、政治学和发展经济学的角度对贫困根源进行了概括,认为贫困的根源是多方面的,综合因素分析相对于单因素分析,解释能力可能更强些,其中,个人素质低下是贫困内在的本质的根源。李含琳则对贫困根源做了详细评述,即主要包括资本短缺论、资源贫乏论、自然环境论、人口素质论、劳动挤压论、科技落后论和阶级划分论等七类,并对每一种根源做了深入剖析。陈端计把贫困根源概括为三大类,即主体不发育论、供体不平等论和载体不完善论,并认为贫困根源是一个综合体,内因是人的素质差,即主体的不发育,外因是贫困地区内部环境的不完善和外部环境的不平等,即载体不完善和供体不平等。贫困的真正根源在于主体不发育、供体不平等、载体不完善所构成的一个低质态的“三位一体”。康晓光对制度性贫困、区域性贫困和阶层性贫困的成因进行了分析,他认为自然条件、发展起点、经济结构、积累能力、科技力量、人口素质、社会服务、制度创新、市场机制和政治结构等都是影响贫困的重要因素,这些因素的相互作用最终会导致一种区域性贫困。蔡昉从历史的角度对我国贫困的性质和根源进行了富有启发力的解释,提出了“整体性贫困”“边缘化贫困”和“冲击型贫困”等新概念。他认为,在改革开放前,中国处于“整体性贫困”状态。改革开放以后,由于实行大规模的扶贫政策,贫困范围减小,但一些老少边穷地区,出于自然、历史、经济和社会政策等方面的原因,仍处于贫困状态,他将这种贫困定义为“边缘化贫困”。20世纪90年代以来,城市地区一些改革发展中的弱势群体,由于在竞争中处于不利地位,又因未得到及时的社会救助而被边缘化,从而出现了“第三类贫困”,即“冲击型贫困”。


