2.3 物体在三维空间的速度和角速度
本节将阐述物体在三维空间中既做旋转运动又做平移运动的速度和角速度。
2.3.1 单个物体的速度和角速度
在图2.11中,物体在三维空间中的位置和姿态可以通过在物体上取的适当点的位置
p
和表示物体姿态的旋转矩阵
R
来表示。(
p
,
R
)表示与物体一起运动的局部坐标系。将在局部坐标系上定义的物体的顶点坐标设为
,根据下式可以转换到世界坐标系。
物体顶点的 p k 的速度是通过对式(2.39)进行微分获得的。
v 和 ω 的定义如下。
图2.11 在三维空间的物体的位置和姿态
将式(2.40)代入式(2.39)中可得式(2.43)。
物体上任意点的速度可以用这个公式计算。因此,可以得出以下结论。
三维空间内物体的运动可以用六维向量[ v x v y v z ω x ω y ω z ] T 表示,该六维向量中的元素来自其局部坐标系的速度 v 和角速度 ω 。
接下来,简化地称 v 为物体的速度或平移速度, ω 为物体的角速度。
2.3.2 两个物体的速度和角速度
接着考虑在三维空间内运动的2个物体,每个物体的局部坐标系如下所示。
如 1 T 2 的标记所示,物体2的位置、姿态被定义为相对于物体1的相对位移。
也就是说,世界坐标系所表示的物体2的位置和姿态如下。
物体2的平移速度可以通过式(2.47)对时间的微分得到。
但需要注意的是,
。
使用式(2.47),更换项的顺序得到下式。
根据式(2.48),可求出物体2的角速度。
但需要注意的是,
。
由图2.12可知
。
图2.12 角速度向量的坐标变换式
进而可得
将两边都施以∨,得到式(2.50)。
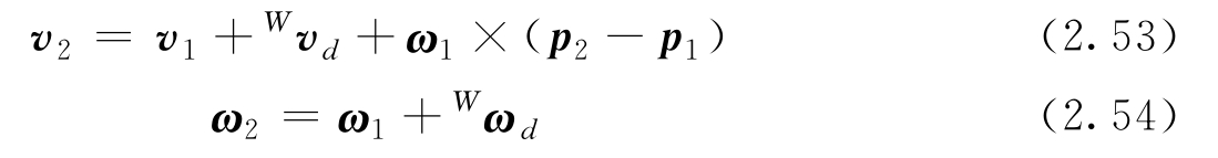
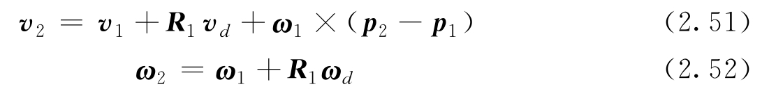
总结以上过程,物体1和物体2的位置和姿态分别为( p 1 , R 1 )和( p 2 , R 2 ),物体1的速度是( v 1 , ω 1 ),物体2对于物体1的相对速度为( v d , ω d )时,物体2的速度如式(2.51)、式(2.52)所示 [8] 。
在这里, R 1 v d 和 R 1 ω d 是用世界坐标系表示的物体间的相对速度。把这些重写成 W v d 和 W ω d 。
也就是说,除了式(2.53)的第三项出现角速度的影响之外,世界坐标系中物体的速度遵循简单的加法。图2.13特别展示出了式(2.54)的含义。
图2.13 式(2.54)的含义。物体1以角速度向量 ω 1 旋转。物体2相对于物体1以相对角速度向量 ω 2 旋转。从世界坐标系看物体2的角速度是 ω 1 + ω 2


