1
一开始的感觉如同胸口被狠狠推了一把,接着他们被紧紧地推到了座椅背上。一时之间,这种压力感如此熟悉:1倍的重力加速度。上了火星以后,这将是他们再也不会经历的重力。 战神号 此前一直在以每小时28000千米的速度环绕地球。加速的几分钟内,在火箭巨大推力的压迫下,他们的角膜被压迫,视野模糊,连呼吸都变得非常费力。当时速到达40000千米时,燃烧推进过程结束了。他们挣脱了地球的引力,开始环绕太阳前进。
开拓者们坐在防压力座椅上,眨着眼。他们的皮肤潮红发热,心脏如擂鼓般咚咚作响。俄罗斯分队的正式领导人玛雅·卡特丽娜·妥特伏娜环视四周。大家看上去都怔住了。当他们执着已久的渴望终于实现时,内心感受如何?这真的很难形容。在某种意义上,他们的生命结束了;然而某种东西、某种新的生命终于……终于开始了……他们的内心中同时充盈着如此之多的感情,很难不困惑迷茫;那是一种缠绵交织的感受,仿佛不同的情感互相干扰,抵消了一些,放大了另一些。玛雅微笑着解开安全带,坐起身来。她看到周围的人也都情不自禁地露出了笑容,只有赛克斯·罗索尔例外。赛克斯如猫头鹰一样面无表情,眨眼看向舱内电脑屏幕输出的内容。
众人因失重而在房间内自由飘浮着。这一天是2026年12月21日,他们刚才的移动速度创造了历史。他们上路了,开始了一段长达9个月的征程——又或许这场征程将一直持续到他们的生命结束。他们别无所依,只能自力更生。
负责驾驶 战神号 的人们将自己拉拽到了控制台旁,下令发射横向控制火箭。 战神号 开始旋转,逐渐稳定在每分钟4圈的转速上。开拓者们落到地板上,承受着0.38倍重力加速度的伪重力。这和他们即将在火星上承受的重力十分接近。多年的真人实验表明,这个重力加速度对人体比较健康,比失重状态好太多,因此旋转飞船从而创造伪重力,这点麻烦也是值得的。而且,玛雅想,这感觉真棒,有足够的引力令人轻易就能保持平衡,却不会感受到压力或阻力。这种状况正如他们此刻的心情一般。他们晃晃悠悠地走到环形舱D的宴会厅,兴高采烈,心神荡漾,飘然若仙。
众人在环形舱D的宴会厅里召开鸡尾酒会,庆祝成功启程。玛雅一边四处游荡,一边随意地喝着马克杯里的香槟。她有些许的不真实感,同时又极度兴奋,这令她想起了自己多年前的婚礼。希望这次的“婚姻”能比上次的好点,她心想,因为这次可是会持续到永远。宴会厅里到处都是欢声笑语。“这是一种数学上的对称,而非社会学上的。是一种美学的平衡。”“我们希望能达到10亿分率的程度,但是这可不容易。”有人要为玛雅续杯,但她拒绝了。她感觉自己已经够兴奋了。而且,她还有工作要做。她是这个所谓的“村庄”的联合长官,负责维护各个团体之间的关系,这项工作注定会非常复杂。她在南极生活时养成的习惯,甚至在这欢庆胜利的巅峰时刻都在发挥作用:她观察着,倾听着,如同一名人类学家,如同一名间谍。
“心理医生说得有理。我们之中很快就会有50对情侣了。”
“而且他们已经知道谁和谁会是一对了。”
她看着人们笑得很开心。这群人聪明、健康,受教育程度极高——这会不会就是启蒙时代的人们一直在追寻的、经过科学设计的理性社会呢?阿卡狄、娜蒂娅、弗拉德、伊凡娜都在这儿。她太熟悉她所率领的俄罗斯分队了,因此不会产生太多幻想。他们很可能会像某个科技大学宿舍里住着的大学生一样,在交往中充斥着古怪的恶作剧和恶俗的桃色事件。不过唯一的区别是,相对那些事而言,他们都有点太老了:有几名男性早已秃顶;很多人,无论男女,已经长出了些许白发。这是一段漫长的旅程,他们的平均年龄是46岁,年龄最小的33岁(爱博子,来自日本的生物圈设计奇才),最大的58岁(弗拉德·坦义夫,诺贝尔生理学或医学奖得主)。
然而现在,青春的气息洋溢在他们脸上。阿卡狄·波格丹诺夫容光焕发,在他的红发、红胡子和红皮肤的映衬下更显得红光满面。在一团红色之中,他瞪大了湛蓝色的双眼,开心地大声宣布:“我们终于自由了!终于自由了!我们所有的孩子也终于自由了!”珍妮特·布莱勒温为地球的电视台录制了几段采访后关上了摄像机,毕竟他们在宴会厅也无法和地球通信。阿卡狄高声歌唱,周围的人纷纷为他的美妙歌声祝酒。玛雅停下脚步加入他们。终于自由了,这真是难以置信,他们竟真的正在奔向火星!人们聚成一个个小圈子互相交谈着,很多人在他们所在的领域都是世界顶尖级人物:伊凡娜曾和他人一起共同获得诺贝尔化学奖;弗拉德是世界上最著名的生物医学专家之一;赛克斯是亚原子理论的最重要奠基人之一;爱博子在封闭生物圈生命支持系统设计方面成就斐然,无人能出其右。每个人都是才华横溢的杰出人才!
而她是他们的领导者之一,这令她有些惶恐。她在工程学和宇航学方面的能力比较普通,能登上飞船很可能是因为她的外交才能。至于被选为领导人,和其他几位联邦成员一起来统领涣散浮躁的俄罗斯分队——好吧,她可以接受。毕竟这项工作还算有趣,她也已经习惯了。而且她的外交能力很可能会成为舰艇上最重要的能力。毕竟,所有人都必须学会合作共处。这其中涉及精明、机智和意志力,能让他人完成你的命令的意志力!看着周围活力四射的人们,她笑了。舰上的每个人都在自己的领域得心应手,但有些人却精明过了头。她必须识别出这些人,找到并“调教”他们。她能否成为一名成功的领导者取决于此,说到底,她想,他们肯定还是会变成一个由科学精英领导的松散团队。在这样的社会结构里,最优秀、最具才华的人拥有真正的权力。当必须做出重大决定的时刻来临时,远征队的真正领导者会是那些最有才华的人——或者能影响这些最具有才华的人的人。
她环顾四周,看到了和她职位相当的美国分队的领导人——弗兰克·查尔莫斯。在南极时,玛雅没能和他熟识。他是个又高又壮、皮肤黝黑的男人,很健谈,很有活力,但很难被人看透。玛雅觉得他非常有吸引力。他们看待问题的方式一致吗?玛雅一直难以揣测明白。此刻,弗兰克在房间另一端和一群人聊着天。他用一种精明而神秘莫测的方式专心聆听对方的话,歪着头,随时准备插上一两句锐评。她必须再多了解了解他。不,不只如此,她必须和他相处融洽。
她穿过房间,停在他身侧,站到离他非常近的地方。他们的胳膊几乎碰到了。她将头歪向他,迅速用手指朝着所有人比画了一下,说:“会很有趣的,你说呢?”
弗兰克瞥了她一眼。“如果一切顺利的话。”他说。
***
庆祝仪式和晚宴之后,玛雅难以入睡,便在 战神号 上游荡。船上每个人都有上过太空的经历,但没有人乘坐过像 战神号 这么巨大的飞船。飞船前端的尾部是豪华单间,类似船头斜桅的一个隔间,旋转方向和飞船相反,以保证这里静止不动。太阳能仪表盘、无线电天线,以及其他一些需要在无旋转状态下运行的设备被安放在这个隔间。它的顶端是一个由透明塑料围成的球形空间,大家很快将它命名为“气泡屋”。在这里,人们可以在无重力且无旋转的环境下尽情观赏群星,宏伟飞船的一部分也会出现在视野里。
玛雅进入气泡屋,飘到接近塑料墙的地方,好奇地回头望向飞船本身。
战神号
是由航天飞船外挂油箱组成的。在世纪之交,美国国家航空航天局和俄罗斯宇航局就已经开始将小型推动火箭固定在油箱上,以便将它们运送到轨道上。几十个油箱都是这么被送上轨道,继而被拖曳到工作站得以投入使用的。通过改造这些油箱,人们建造了两座大型空间站、一座拉格朗日点
空间站、一座月球轨道空间站、第一艘探索火星的载人宇宙飞船,以及数十个去往火星的无人运输船。等到两个国家的宇航局同意合作建造
战神号
时,油箱的使用技术已经很成熟了,此时已有标准搭配单元、内部构造单元、推进系统等配套设施。建造这座巨型飞船一共花了不到两年的时间。
看上去就像是用儿童玩具套装搭建东西一样,将圆柱形的油箱两端相互连接,构成复杂的造型——而在建造 战神号 时,是首尾相连的圆柱体组成了8个六边形,人们称之为“环形舱”。这些环形舱排成一列,中部穿过由5个圆柱体组成的轮毂。环形舱则依靠窄辐条连接到这个轮毂上。最终,飞船的造型很像某种大型农业设备的一部分,比如联合收割机的机械臂,或是移动式洒水车。又或者,玛雅想,像是8个坑坑洼洼的甜甜圈穿在一根木棒上。总之是小孩会喜欢的东西。
8个环形舱使用的油箱是美国制造的,5个组成轮毂的油箱则是俄罗斯制造的。两种油箱的规格都是大约长50米,直径10米。玛雅漫无目的地飘到轮毂的油箱附近。她花了很长时间才来到这里,不过反正她也不着急。她在环形舱G前落了下来。这里有很多房间,大小不一,形状各异,有的房间甚至占据了整个油箱。她路过的某个房间的地板差不多在一半高的位置,所以其内部就像是狭长的昆塞特棚屋
。不过大多数油箱都被分割成了更小的房间。她听说一共分隔出了超过500个房间,所有内部空间加在一起足以匹敌一座大型的都市酒店。
但这样就够了吗?
***
也许够了。在经历了南极训练之后, 战神号 上的生活显得更开阔、透气,也更错综复杂。每天早上大约6点,居住区的环形舱会从一片漆黑逐渐变成黎明的灰蒙蒙,然后在6点30分突然变亮,标志着“日出”时刻的到来。玛雅每天都准时醒来,一如既往。洗漱完毕后,她会来到位于环形舱D的厨房,热好早饭,然后把饭端到大餐厅,在桌子旁坐下。桌子两侧有盆栽的青柠树。蜂鸟、燕雀、唐纳雀、麻雀、鹦鹉等各种鸟时而在她脚下栖息,时而又从头顶掠过,躲避着从餐厅长长的拱顶天花板上垂下的藤本植物。天花板漆成了灰蓝色,令玛雅想起了圣彼得堡冬季的天空。她细嚼慢咽,看看鸟,听听周围的对话,在椅子上放松下来。真是一顿悠闲的早餐!在一辈子兢兢业业地辛勤工作之后,这样的早晨一开始令人有点不自在甚至惊慌,简直像是一种偷来的奢侈。就像娜蒂娅说的,仿佛每天都是周日。不过对于玛雅而言,周日的早晨从来都不轻松。在她小时候,每个周日早晨她都得打扫和母亲共同居住的一居室公寓。她母亲是一名医生。就像那个年代的大部分女性一样,这位母亲不得不疯狂工作才能勉强度日,购买食物、养育孩子、持有公寓、维持工作,同时做这么多事对一个人而言实在是太难了,于是她加入了众多女性的行列,愤怒地要求更好的待遇。那时候她们只能得到仅有普通工资一半的工作,却要包揽所有家务。不能再等了,不能再沉默地忍耐了。她们必须利用这个动荡不安的年代采取行动。“一切都可以摆上桌!”玛雅的妈妈会在做着仅能糊口的晚饭时强调,“除了食物!”
她们的确成功地利用了那个动荡的年代。苏联时期,女人们学会了互帮互助,自发组织形成了社群,她们是母亲、姐妹、女儿、祖母、女性朋友、同事,有时甚至是陌生人。在这个被世界固化的联邦里,她们扩大社群影响,跻身权力结构之中,在严格由男性主宰的寡头政府中赢得了一席之地。
受到女性社群深远影响的领域之一就是太空计划。玛雅的母亲对太空医疗研究略有涉猎。她一直认为,航天工程一定会需要大量女性,哪怕仅仅是为了提供女性的医疗实验数据。“他们不能因为出了一个瓦莲京娜·捷列什科娃
,就以此为借口不让其他女性进入这个行业!”她妈妈会如此这般大声疾呼。很显然,她是对的。玛雅在莫斯科大学学习了航空工程后,顺利加入了拜科努尔的一个航天项目。她完成得很不错,于是被派遣到
新世界空间站
上。在空间站时,她重新设计了空间站的内部构造,将之改造得能提高人体的运用效率。之后的一年,她作为空间站站长,主导了好几个紧急维修项目,因此名声大振。此后,她被委派到拜科努尔和莫斯科做一些行政方面的工作。渐渐地,她成功渗进了俄罗斯宇航局的政治局内部,以微妙的手段在男人们之间玩起权力游戏,和其中一个人结婚,随后又离婚。她从小人物起步,在宇航局平步青云,最终进入了最核心的小团体“双三头同盟”。
而现在,她在这里,悠闲地享用早餐。“真是太过文明了。”娜蒂娅肯定会这样嘲讽的。她是玛雅在 战神号 上最好的朋友。她个子矮小,身体浑圆,方脸,平头,头发花白,总之很没特点。玛雅知道自己很美,也多次利用过自己的美貌。她因此很喜欢平平无奇的娜蒂娅,因为这个朋友可以更加凸显出自己的魅力。娜蒂娅是一名工程师,动手能力很强,同时是研究在寒冷气候下如何建造建筑的专家。她们是20年前在拜科努尔相识的,后来一起在 新世界空间站 上生活过几个月。这么多年来,她们已经成了好姐妹,虽然长得不像,也经常吵架,但依然很亲密。
娜蒂娅环顾四周,说:“俄罗斯和美国的宿舍安排在不同的环形舱可真是个糟糕的主意。我们白天和他们一起工作,晚上却要和熟悉的老面孔共度大部分时光。这样只会加大彼此之间的分歧。”
“也许我们应该提出建议,交换一半的宿舍。”
阿卡狄狼吞虎咽地吃完咖啡卷,从旁边的桌子探过身子来。“这还不够。”他接过话头,就好像他一直都参与了谈话似的。他的红胡子每天都变得更浓密,上面沾了些食物碎屑。“我们应该把每隔一周的周日定为搬家日,给大家随机分配宿舍,这样大家能有更多机会彼此了解,同时也能防止小团体的形成,还可以减少占据房间的行为。”
“但是我喜欢拥有属于自己的房间的感觉。”娜蒂娅说。
阿卡狄又往嘴里塞了一个蛋卷,边咀嚼边冲着她笑。他能通过选拔委员会的测试真是个奇迹。
不过玛雅还是把交换宿舍的提议跟美国人说了。没人喜欢阿卡狄的提议,但他们觉得直接交换一半的宿舍是个不错的主意。商讨后,大家一起制订了换宿舍的计划。在一个周日的早晨,众人一起执行了这项计划。这之后,大家在用早餐时终于有些国际交流了。环形舱D的早餐桌上会出现弗兰克·查尔莫斯、约翰·布恩、赛克斯·罗索尔、玛丽·敦克尔、珍妮特·布莱勒温、拉雅·希门尼斯、米歇尔·杜瓦和厄休拉·科尔。
约翰·布恩是个习惯早起的人,到餐厅的时间甚至比玛雅还早。“这个空间又宽阔又透气,真的有种户外的感觉。”某天清晨,当玛雅走进餐厅的时候,约翰坐在桌旁对她说,“比环形舱B的餐厅好太多了。”
“秘诀是把镀层和白色塑料层给去掉。”玛雅回答说,她的英语相当好,而且进步飞快,“然后把天花板涂成真正的天空的样子。”
“你的意思是,不能涂成纯粹的蓝色?”
“没错。”
她觉得,约翰·布恩就是个典型的美国人:单纯、外向、直接,整个人都很放松。而这个典型的美国人是历史上最著名的人物之一。这是个无法避免的沉重事实,但约翰似乎从这种压力下逃脱了,或是在压力环绕的环境中找到了前进的方法。他有时专注于品尝蛋卷的味道,有时聚精会神地看着桌载屏幕上的新闻。他从不主动提及自己之前的征程,如果有人提起来的话,他会将之描述得和每个人都有过的飞行经历一样平淡无奇。然而事实绝非如此,只不过他轻松的态度将其淡化了。每天早上,他都坐在同一张餐桌前,因娜蒂娅的工程学冷笑话而开怀大笑,参与大家的闲聊。过了一阵儿后,他周围的气场变得很难摸透。
弗兰克·查尔莫斯更有趣一些。他总是很晚才到餐厅,一个人坐,注意力只集中在咖啡和桌载屏幕上。喝完两杯咖啡之后,他会操着一口蹩脚但尚能交流的俄语,和周围的人闲聊。为了方便美国人,环形舱D的餐厅里,早餐闲聊时人们已经逐渐都说英语了。 战神号 上的语言环境就如同俄罗斯套娃一样:全部100人都能说英语,往内一层是俄语,然后是英联邦语,再然后是各国语言。船上有8个人使用母语,在玛雅看来,他们像是孤儿一样可怜。而且对她来说,这几个人比起其他人,与地球的联系似乎更紧密,他们经常和家乡的人联系。船上的心理学家是其中之一,这显得有点奇怪。尽管掌握了两门语言,他还是坚持使用法语。
总之,英语是飞船上的通用语。玛雅一开始以为这会给美国人带来优势。不过她很快注意到,当美国人说话时,他们相当于站在舞台中央,而其他人则可以在需要的时候换成更私密的语言。
不过,弗兰克·查尔莫斯是例外。他能说5种语言,比飞船上的任何人都多。而且他也不怕说俄语,虽然说得很烂。他可以通过蹦单词来描述问题,然后聆听对方回答。他听得非常专注,不时哈哈大笑两声。玛雅认为,他是个在很多方面都与众不同的美国人。一开始他似乎拥有所有美国人的特质:身强体壮、声如洪钟、精力充沛、自信满满、躁动不安;一杯咖啡之后,他会变得很健谈,而且他总是很友好。不过,需要一段时间才能注意到,弗兰克的态度忽冷忽热,而且他在交谈中很少透露关于自己的任何私事。比如,尽管玛雅非常努力地旁敲侧击,但她没能了解到任何关于他过去的事情,这令她感到十分好奇。弗兰克一头黑发,脸庞黝黑,有一双淡褐色的眼睛——拥有壮汉的魅力——他的微笑很短暂,笑声尖锐,像玛雅的妈妈。他的眼神非常犀利,特别是注视着玛雅的时候,她猜测他是在评估她到底有什么本事可以当团队的领导者。他对她的态度就好像他们早就彼此熟识,这令玛雅感到非常不适,因为在南极时他们几乎没怎么交谈过。玛雅习惯于认为女性是盟友,男性虽然很有吸引力,但总会带来危险和麻烦。而一位被众人认定是她盟友的男性则会带来更多的麻烦和危险,还有……其他方面的暗示。
在她印象里只有一次,她透过外表真正看到了他的内心。那还是在南极的时候,在热力工程师精神崩溃被送走之后,上面传来消息,代替他的人将会是约翰·布恩。当听到这个消息时,每个人都既惊讶又兴奋,惊讶是因为约翰·布恩在之前的征程中肯定已经受到了过量的辐射。大厅里的众人都在交头接耳地讨论,这时,玛雅看到弗兰克走进大厅,有人上前告诉了他这个消息。他猛一转头,直勾勾地盯着告诉他消息的人。在一瞬间,玛雅看到了他脸上的一丝愤怒,但那情绪转瞬即逝,几乎像是下意识的反应。
这件事令玛雅开始密切关注弗兰克。他和约翰·布恩之间的关系的确很尴尬。他们的关系对于弗兰克而言当然很艰难:他是美国团队的正式领导人,甚至有“舰长
”的头衔;但约翰·布恩拥有金发碧眼的迷人外表和过去取得的辉煌成就,凭此天然获得了更大的权威——他
看上去
更像是真正的美国团队领导人,而弗兰克·查尔莫斯则像是一个过于活跃的执行官,完成约翰·布恩未曾明确说出的命令。这感觉肯定不舒服。
玛雅听说他们两人是旧友。但即便密切观察,她自己也找不出什么能证实这一点的证据。他们俩很少在公共场合交谈,私下里好像也没什么交流。所以当他们一同出现时,她会格外仔细地观察二人,甚至都没有意识到自己为什么会这么做——当时的情景令她自然而然地想要去这么做。如果是身处俄罗斯宇航局的话,在他们两人之间挑拨离间应该是个不错的战略,但在这里,她并没有这个打算。很多事情玛雅都没有深思熟虑。
不过,她还是认真观察了。有一天早晨,珍妮特·布莱勒温戴着她的摄像眼镜,走进环形舱D的餐厅用早餐。她是美国电视台的首席记者,经常在飞船上迂回穿梭,戴着摄像眼镜,一边四下张望,一边进行实况报道。她会收集一些飞船上发生的小故事,传送回地球总部。她传回的素材在总部——正如阿卡狄描述的那样——“会被嚼过了,再吐出来,喂给达成共识的小鸟们”。
这一点平平无奇。作为宇航员,媒体的曝光早就成了他们生活的一部分。在选拔过程中,他们可以说是被放在显微镜下仔细观察。不过现在, 战神号 上的众人成了史上最宏大、最广为人知的宇航项目的原始材料。几百万人都在盯着他们看,仿佛在追一部超级肥皂剧,这令他们之中的一部分人非常反感。所以当珍妮特戴着那副镜架上装有光学纤维的时髦眼镜在长桌的一端坐下时,周围传来了好几声抱怨。长桌的另一端,安·克雷伯恩和赛克斯·罗索尔正在争吵。
“搞明白那里有什么要花上好多年,赛克斯。至少要好几十年。火星上的陆地面积和地球上的一样大,而且火星有独特的地质特征和化学特性。我们必须彻底研究火星的土地,再开始改造。”
“从我们在那里着陆起就已经开始改造它了。”罗索尔轻描淡写地回应安的反对意见,仿佛那只是粘在他脸上的蜘蛛网一般,“决定要去火星就像是一句话的开始,而整句话是——
“
我来,我见,我征服
。”
罗索尔耸了耸肩。“如果你想这么理解的话。”
“你才是懦夫,赛克斯。”安撇着嘴讥讽道。她肩膀很宽,有着一头狂野的棕发。她是一名抱持强烈观点的地质学家,在争论中常常咄咄逼人。“听着,火星 属于它自己 。你可以在地球上随意开展改变气候的游戏,地球也的确需要这方面的帮助。或者你也可以在金星上试试。但是你不能把有30亿年历史的火星地貌就这样完全抹平。”
罗索尔扫开了更多的蜘蛛网。“火星一片死寂。”他简单地回答,“而且,这个问题也不由我们决定。我们应该把这个问题的决定权留给上面的人。”
“我们不应该上交任何问题的决定权。”阿卡狄尖锐地回击。
珍妮特从一位发言人看向另一位发言人,把这些争论都记录了下来。安越来越生气,声音也越来越大。玛雅环顾四周,她看出来弗兰克不喜欢争吵的场面。但是如果他直接介入的话,他会暴露在数百万人面前,暴露出他不喜欢远征队成员在他面前争吵。于是,他选择看向桌子另一头,对上了约翰的视线。他们俩飞快地交换了一个表情。玛雅眨了眨眼,不禁怀疑自己看错了。
约翰说:“我上次到火星的时候,感觉那里就已经很像地球了。”
“但是那里的温度只有200开尔文
。”赛克斯说。
“没错,不过它
看上去
很像莫哈维沙漠
,或是麦克默多干谷
。我第一次在火星上环顾四周时,发现自己会下意识地去寻找在麦克默多干谷里看到的那些被晒干的海豹尸体。”
他继续说了些诸如此类的话。珍妮特转向他,安也是。安一脸厌恶,拿起咖啡走开了。
之后,玛雅集中注意力,试图回忆起约翰和弗兰克之间交换的表情。那表情像是密码,或是某种同卵双胞胎发明出来的暗号。
***
几周过去了,每天都由一顿悠闲的早餐开启。上午非常繁忙,每个人都有自己的行程安排,有些人的更紧凑一些。弗兰克的行程安排得非常满,他很喜欢这样,疯狂地参与各项活动。不过必要的工作其实也没有多美妙:必须保证每个人都能全须全尾地活下来,保证飞船持续运行,持续为火星生活做准备。飞船的维护工作涵盖了大到复杂如程序设计和维修,小到如把物资搬出储藏室或是垃圾回收的方方面面。生态圈团队大部分时间都在农场度过。农场占据了环形舱C、E和F,飞船上的每个人都有在农场工作的任务。大多数人都很喜欢在这里工作,有些人甚至在自由活动时间也会回到这里。根据医嘱,每个人都要每天在跑步机、楼梯机、跑步环或是负重设施上锻炼3小时。由于不同的个性,有人享受,有人忍受,有人则受不了这3小时时光。不过,即使是那些声称自己受不了的人,在完成锻炼之后,也会明显地(甚至可以度量出来地)更快乐一些。“β-内啡肽是最好的解药。”米歇尔·杜瓦肯定会这么说。
“那真是太幸运了,毕竟我们也没有别的药。”阿卡狄会这么回答。
“哦,我们有咖啡因……”
“让我发困。”
“酒精……”
“让我头疼。”
“普鲁卡因
、达尔丰
、吗啡……”
“吗啡?”
“只可用于医疗。不能随便使用。”
阿卡狄笑了。“也许我应该生个病。”
工程师们,包括玛雅在内,很多人上午都在进行模拟训练。训练设置在环形舱B的辅助舰桥上,那里有最先进的电子图像合成设备。模拟非常逼真,光靠肉眼无法分辨模拟环境和真实环境。不过这并不意味着训练很有趣:船员们每周都会进行标准轨道交接模拟任务,外号是“重复模拟”,每个人都觉得这项任务无聊透顶。
不过有时比起其他任务,无聊的任务更受欢迎一些。阿卡狄是训练专家,他一意孤行的天赋让他设计出很多突发状况,那些模拟的突发状况常常困难重重,以至于每个受训人都可能会被“杀掉”。这样的状况相当令人不快,也让阿卡狄的“受害者”对他颇有微词。阿卡狄会把突发状况和重复模拟任务随机组合在一起,不过突发状况的频率会逐渐增加。训练人员已经“快到火星”了,这时突然红灯闪烁,有时还伴有警报声,大家再次陷入麻烦。有一次他们撞到了一个只有50克的微行星,防热盾
被砸出了一个大口子。赛克斯计算过,飞船被超过1克的物质击中,这样的事大约航行7000年才可能发生一次,但他们还是被丢到这儿了,
紧急状况
!虽然他们还在嘲笑任务设置得不合理,但肾上腺素已经遍布全身。他们冲上轮毂,套上宇航服,要赶在撞上火星大气层、被热量烧焦前赶紧把洞补上。刚进行到一半,阿卡狄的声音从内部通信系统里传了出来:“太慢了!我们所有人都死了。”
这还只是一次简单的模拟突发情况。其他的……就拿飞船举例吧。飞船配备了一套飞行控制系统,飞行员将指令输入飞行终端机后,电脑将自动转译指令,以推动飞船向预定目的地行进。这种做法是必需的,因为当飞船以高速接近一个类似火星的带有引力的物体时,飞行员无法单纯凭借感觉或直觉推断出怎样点火才能达到想要的效果。因此并没有人用驾驶飞机的方式来驾驶飞船。然而,阿卡狄经常在紧要关头把一整个巨大而冗余的系统彻底搞坏(据赛克斯说,这种情况发生的概率大约是百亿分之一)。受训人员不得不接管飞行系统,单纯靠机械原理来操控所有的推动火箭,看着显示屏上黑底橙色的火星画面迅速压迫到眼前。他们要么会飘到外太空,经历一场漫长的死亡;要么会撞击到火星地表,死得非常迅速。如果是后者,他们会体验到整个过程,以模拟时速120千米的速度撞到火星表面。
又或者,需要解决的问题是机械故障:主火箭、稳定火箭、电脑硬件或软件、防热盾展开系统,所有这些系统在着陆过程中都必须完美无瑕地运行。这些系统是最容易出故障的——据赛克斯说,故障率大约为万分之一(虽然有些人质疑他的风险评估的方法)。于是受训人员会反复训练模拟这些状况。红色警报灯闪烁,人人怨气冲天,恳求换成“重复模拟”,虽然他们心里还是有点喜欢新挑战的。如果能在模拟训练中成功解决机械故障,大家会特别高兴,肯定会是一周内的“高光时刻”。有一次,约翰·布恩仅凭双手,操控唯一一台还在运作的主火箭完成了大气制动
,以精准到毫角秒的唯一可行的速度成功降落,真是难以置信。“瞎猫碰上死耗子了。”晚餐提及此事时,约翰大笑着说。
然而,阿卡狄设置的大部分难题都未能成功解决,这意味着所有人都会死。无论是不是模拟,每个人在经历过这些之后,很难不受影响,也难免会对制造这些难题的阿卡狄产生怨气。有一次,受训人员刚刚修好舰桥上所有的控制屏,就立刻被一颗小行星击中了。小行星削断了轮毂,把所有人都杀死了。还有一次,阿卡狄作为导航组的一员,犯了个“错误”,在应该降低飞船转速时提升了速度。“要被6个重力加速度钉在地板上了!”他假装惊恐地喊着。受训人员不得不在地板上爬了半小时,承受半吨重力的同时假装去修复这个错误。当他们成功之后,阿卡狄从地板上一跃而起,将他们从控制屏前推开。“你到底在干什么?”玛雅吼道。
“他疯了。”珍妮特说。
“他在 模拟 发疯。”娜蒂娅纠正她说,“我们必须想办法——”她边说边围着阿卡狄转圈,“解决一个在舰桥上突然发疯的人!”
毫无疑问这是对的。但他们看到阿卡狄翻了个白眼。而在他沉默地攻击他们的时候,无法看到他还保持着理智的任何迹象。5个人合力才制伏了他,珍妮特和菲莉丝·波伊尔都被他的尖胳膊肘撞伤了。
“怎么样?”事后在餐桌上,他歪着肿起来的嘴笑着说,“如果真发生了怎么办?在飞行途中,每个人都承受着很大的压力,而着陆的过程肯定会是压力最大的时候。如果有人突然崩溃了该怎么办?”他转向赛克斯,笑得更厉害了,“这种情况发生的概率是多少呢,嗯?”接着他开始吟唱一首牙买加歌曲,带着斯拉夫和加勒比地区的混合口音,“释放压力,哦,释放压力,哦哦,你必须释放压力,哩哩哩!”
于是他们继续进行模拟训练,尽可能严肃地对待每一次突发状况模拟,即使是面对被火星人攻击、飞船组装时安错了引爆栓导致环形舱H脱离主体、火卫一突然脱离轨道等千奇百怪的情况也安之若素。在无厘头的事态下随机应变有时候会呈现出一种超现实的黑色幽默。阿卡狄会播放训练过程的录像作为饭后娱乐,有时候会引得船员们哈哈大笑。
不过那些合理的任务……持续不断地到来,日复一日。尽管他们努力解决,尽管他们遵循规则,努力寻找解决方案,但是这个画面一次又一次地重复着——红色星球超乎想象地以每小时40000千米的速度向他们冲来,直到充满整个显示屏。显示屏一下子变得全白,然后很小的黑字出现在屏幕上: 撞击 。
***
他们航行在霍曼转移轨道
上,向火星行进。这样虽然有点慢,但比较节能。在众多备选中选中这条路线的主要原因是,当飞船终于可以发射时,地球和火星的位置刚好比较合适。火星在地球黄道面
前方约45度的位置。在航程中,飞船会围绕太阳转半圈多一点,在大约300天后到达火星。博子管这叫他们的“母巢时间”。
地球上的心理学家认为,时不时地营造一些改变有利于身心健康。他们提议可以在 战神号 上营造出四季的变化。因此,飞船上的昼夜长短、天气、环境色都有所变化。有些人认为着陆时应该是收获的季节,也就是秋天;另一些人则认为必须是春天。经过短暂讨论,飞船上所有人投票决定,将出发时的季节设定为早春,这样在航行过程中,他们经历的就是夏季而非冬季。而且等到达目的地时,飞船的颜色正好会变成和火星一样的、属于秋季的颜色,而不是他们早已远离的芳草的浅绿或花瓣的粉红。
所以,在最开始的几个月,大家完成上午的工作,离开农场或舰桥,又或者跌跌撞撞地离开阿卡狄我行我素地设置的残酷的模拟任务后,会走进春天里。墙壁上挂着淡绿色的平板,或是一整面杜鹃花、蓝花楹和樱花的照片。大农场温室内的大麦和芥菜花闪着耀眼的金色,甚至可以看到它们纤细的花瓣。森林生态区以及飞船上的7个公园里到处都是处于春季周期的乔木和灌木。玛雅非常喜欢春天开放的五彩缤纷的花。上午的工作完成后,她会在森林生态区里散步,这成了她每日锻炼的一部分。森林生态区地势高低起伏,树木繁多,枝叶茂密,甚至无法从屋子的一侧看到另一侧。在这里,她最常遇到的人是弗兰克·查尔莫斯。他短暂休息时一般都会来这里。他说自己喜欢春天的树叶,但他好像根本没有认真看树叶。他们一起散步,时而交谈,时而沉默,交谈的时候也不聊正事。弗兰克好像并不想讨论二人作为远征队领导者的工作,他对此漠不关心。玛雅觉得这有点奇怪,但她没有说出来。不过他们的工作也并非完全相同,这大概可以解释他的不情愿。玛雅的岗位比较“非正式”,也没有那么严格的上下级关系。俄罗斯宇航员之间的关系一直都是比较平等的,自宇航局时期起就有这样的传统;而美国的宇航项目则有着更深厚的军事传统,这一点从头衔上就能看出一二:玛雅仅仅被称作“俄罗斯分队协调官”,弗兰克则是“查尔莫斯上尉
”,这大概体现出了旧时海军的影响。
拥有权威对弗兰克究竟有利还是有害,他没说。有时候他会聊聊生态区,或是一些很小的技术问题,或是地球传来的消息。但更多时候,他似乎就是想单纯地和她一起散步。于是,他们一起沉默地散步,走过高低起伏的狭窄小径,穿过茂密的松树、杨树和桦树林。仿佛他们之间早就亲密无间,仿佛他们是老朋友,仿佛他在非常害羞地(或是拐弯抹角地)追求她。
某天想起这一点时,玛雅意识到, 战神号 在出发时设置成春天也带来了个麻烦。所有人都身处这个与世隔绝的生态系统里,在春天里航向远方。周围的万物都在生长发芽、成熟开花,一片欣欣向荣、郁郁葱葱的景象。空气里弥漫着花香,白昼渐长,天气渐暖,每个人都换上了短袖短裤。100只健康的动物,住在一个个小隔间里,一起吃饭、锻炼、洗澡、睡觉,必然会有性行为。
当然了,这也不是什么新鲜事。玛雅自己也曾经在太空里有过非常美妙的性经验。最难忘的经历发生在她第二次进驻 新世界空间站 的时候,她和格雷伊、耶利和伊凡娜尝试了失重状态下能想象到的各种姿势,花样还真挺多的。不过现在不一样了,他们都老了,而且被永远困在一起了。“在封闭系统里, 一切 都不一样了。”博子经常在各种场合里这么说。美国国家航空航天局的构想非常宏大,希望太空中的所有人都保持兄弟会般的关系。在美国国家航空航天局完成的长达1348页的鸿篇巨制《移居火星的人类关系》中,只有一页提及了性行为,而且是在明确反对。按照这部巨著的说法,船员们就像是同属于一个部落的人,内部结合是种敏感的禁忌。俄罗斯人听闻笑得前仰后合。美国人可真是老古板。“我们不是一个 部落 。”阿卡狄说,“我们是 整个世界 。”
总之,现在是春天。舰上有一些已婚的伴侣,其中几对经常会在公众场合搂搂抱抱。环形舱E有游泳池、桑拿房、按摩浴缸,混用时,使用人员要穿泳衣。这又是美国人的要求,不过穿不穿泳衣也没什么太大差别。自然而然地,事情就开始发生了。玛雅听娜蒂娅和伊凡娜说,夜深人静时,气泡屋成了情人的幽会佳地,很多宇航员和航天员显然都喜欢失重的感觉。公园和森林生态区里的隐蔽场所成了那些没有太多失重经验的人躲避他人的绝佳去处,毕竟公园的设计初衷,就是让人暂时拥有脱离尘世的感觉。而且每个人都有属于自己的隔音宿舍。因此,一对情侣如果想要发展一段关系,同时也想避免成为人们茶余饭后闲聊的焦点,完全可以非常隐蔽地做到。玛雅非常肯定,飞船上绝对有很多地下情侣。
她能感觉到,毫无疑问其他人也能感觉到。两个人的低声交谈,餐厅里突然变换的共同用餐对象,暗送秋波,相视而笑,身体交错时碰到一起的手、肩膀和手肘——啊,没错,到处都有爱意存在的痕迹。这也导致空气中弥漫着一种紧张的气氛,虽然的确令人兴奋,但兴奋和愉悦只占一小部分。在南极体会到的恐惧感又回来了;而且只有一小部分人有成为浪漫伴侣的潜在性,这令人们产生了“抢椅子”似的紧迫感。
对玛雅而言,还有更多问题。她和往常相比,更警惕俄罗斯男人了。在当前情形下,和她在一起意味着和上司交往。鉴于她自己曾经做过类似的事,深知个中体会,她对这样的关系充满猜忌。而且,也没有人……好吧,她的确觉得阿卡狄很有魅力,但她并不喜欢他,阿卡狄似乎也对她没什么兴趣;她以前就认识耶利,他只是个朋友;她对德米特里没感觉;弗拉德太老了;尤里不是她喜欢的类型;阿历克斯是阿卡狄的追随者,诸如此类。
至于美国人或其他国家的人——嗯,这又是另外的问题。跨文化交流,结果如何谁知道呢?所以她洁身自好。不过她会想这件事。偶尔在清晨刚醒来时,或是结束锻炼时,她会漂浮在欲海翻起的浪花里,历经洗刷,直至浪花将她推向床上或莲蓬头前。她备感孤独。
***
某天上午,大家进行了某项残酷的突发状况模拟训练。他们几乎解决了问题,但最终还是失败了。在这之后,玛雅在森林生态区遇到了弗兰克·查尔莫斯。他们互相打了招呼,然后一同走进树林里,大约走了10米后停了下来。她穿着短裤和吊带,光着脚,因刚刚的模拟训练而满脸通红、大汗淋漓。弗兰克穿着短裤和T恤,光着脚,因刚做完农活而满头大汗、风尘仆仆。突然他发出了一贯的尖锐笑声,用两个手指尖碰触她的上臂。“你今天看上去很开心。”他飞快地笑了一下。
他们各自领导了一半的远征队队员。他们之间是平等的。她抬起手碰了碰他的手,而这已足够点燃他们之间的火花。
他们离开小径,往一片茂密的松树林里走去,然后停下来接吻。距离她上次接吻已经过了太长时间,她感觉有点陌生。弗兰克被树根绊倒,低声笑了笑。这种短暂且隐秘的笑声令玛雅感到战栗,甚至恐惧。他们坐在松针上,滚到一起,像学生似的在树林间接吻。她笑了,她很喜欢这种一拍即合的方式,用这种方式她可以快速搞定一个男人,只要她想。
然后他们发生了关系。一时之间,她被激情左右。之后她放松下来,享受余韵。不过这之后的气氛不知为何变得有点尴尬,她不知道该说什么。她依然无法看透弗兰克,好像即使在欢爱时他也没有完全敞开心扉。更糟的是,她能感觉到,他所隐瞒的似乎是一种得意扬扬的胜利感,就好像他赢得了什么东西,而她输了。美国人身上还保有着清教徒的禁欲气质,总觉得性爱是错误的,是一种男人必须诱骗女人才能做成的事。她稍微收回了自己的思绪,对他脸上暗含的得意感到很厌恶。输赢什么的,真够幼稚的。
事实上,他们俩依然是联合长官,如果因为这件事变成一场零和博弈的话……
不过,他们友好地交流了很久,甚至在离开之前再次欢爱。但这次和第一次有所不同,她心不在焉。在欢爱中发现的事远远超出了理性思考的范畴。玛雅总能从对方身上感受到她无法分析甚至无法表达出来的事。对她能感受到的事,她要么喜欢,要么讨厌,而非感到疑惑。在第一次之后看着弗兰克的脸,她就非常肯定有什么事情不对劲。这令她非常不安。
不过她非常友好体贴。这种时候可不能做什么扫兴的事,否则没有人会原谅她的。他们穿好衣服站起来,走回环形舱D,和其他人在餐厅共进晚餐。这时候远离彼此是非常理智的。然而几天后,她发现自己在回避他,找借口避免和他独处。她对此感到沮丧。这太尴尬了,她根本不想变成这样。她真希望可以不要有现在的这种感受。他们又独处了一两次,弗兰克主动邀请,玛雅便再次与他欢爱,心里希望这次会不一样,之前那次可能只是错觉,或者是因为心情不好才会那么想。然而每次都一样。弗兰克脸上总会有那种得意扬扬的讥笑,那种“我搞定你了”的表情。玛雅非常厌恶这一点,所谓的道德至上的禁欲清教徒,其实奉行双重标准,非常肮脏。
于是她越发努力地躲避他,以防陷入一开始的困境。很快,弗兰克也意识到了她的疏远。某天下午,他邀请玛雅去生态区散步,但她拒绝了,说自己很累。他的脸上闪过震惊的表情,但转瞬即逝,很快他又戴上了面具。玛雅感觉糟透了,但她甚至无法解释自己为什么拒绝他。
为了弥补这次不合理的拒绝,她尽可能在安全的场合对他非常友好、开诚布公。有一两次她委婉地向他暗示,他们之间发生的事对她而言仅仅是加深友谊的证明,她和其他人之间也曾经有过类似经历。所有这一切不得不在字里行间隐晦地传达,可语言也可能会让他误解,这很难说。他听明白后大受震撼,但之后他似乎很困惑。有一次刚散会后,她看到弗兰克眼神犀利地瞥了她一眼,之后又恢复了一贯的疏远和拘谨。但他从未因此而变得焦虑,也从未对此向她施压,或是找她来谈这件事。不过这也构成了问题的一部分,不是吗?他似乎并 不想 和她聊这方面的事。
说不定他也和其他女人发生了关系,那些美国女人,这很难说。他真的很孤僻。而这一点……很奇怪。
玛雅下决心结束这段恼人的风流韵事,无论她从中得到了多大的快乐。博子说得对,在封闭系统里,一切都不一样。然而对弗兰克而言有点惨(如果他真的会在意的话),因为他成了教会玛雅这一点的活生生的例子。不过最终她还是补偿了弗兰克,以成为他的好友的方式。为了修补二人之间的关系,她非常努力,以至于有一次,大约在一个月后,她都有点越界了,让弗兰克误以为她又在引诱他。他们俩和一群人一起深夜畅谈,玛雅坐在弗兰克身边。这之后他显然是误会了,一直跟着她走到了环形舱D,进了浴室,用那种他们交往时充满魅力的亲密方式对她说话。玛雅对自己非常恼火,她不想显得水性杨花、反复无常,虽然此时此刻无论她怎么做都会把自己放在这种位置上。结果她只好随他去,仅仅因为这样做是最容易的,而且她内心中的一部分也的确想要做爱。她不安地放任了自己,也下定决心这是最后一次。她心想,这就当是送给他的分手礼物吧,希望他可以将他们之间发生的事情当作一段美好的回忆。她比以往更加富有激情,真心想要取悦他。就在愉悦达到顶点时,她望向他的脸,仿佛通过窗子望进了一个空空荡荡的房间。这是他们之间的最后一次。
***
Δv,v表示速度,Δ表示变化。在太空里,这个变量衡量的是从一个地方移动到另一个地方所需要的速度变化量——也是对移动所需要能量的衡量。
万物恒动。从(正在移动的)地球表面将物质送入围绕地球的轨道,需要至少每秒10千米的Δv。离开地球轨道飞向火星,则需要至少每秒3.6千米的Δv。环绕火星,在火星表面着陆则需要每秒1千米的Δv。最困难的部分是逃离地球,因为必须摆脱沉重的引力。在时空上爬陡坡需要巨大的作用力,以克服巨大的惯性来改变方向。
历史也有惯性。在四维空间里,粒子(或事件)具有方向性。数学家试图展示这一点,在图上画出了所谓的世界线
。在人类活动层面,一条条个人世界线交织纠缠在一起,从黑暗的史前时代一直沿着时间的方向伸展,形成了一条适配地球尺寸的缆绳,围绕着太阳在漫长而弯曲的轨道上旋转。这条交织纠缠的世界线形成的缆绳就是历史。看到它从哪里来,很明显就能看出它将往哪里去——通过简单的外推法
即可推断。需要多大的Δv才能逃离历史,逃离如此强大的惯性,开辟出一条新的轨道呢?
最困难的部分是逃离地球。
***
战神号 的造型符合现实世界的结构。地球和火星之间的真空带在玛雅看来仿佛是一长串的圆柱体,相互之间以45度的弯角接合在一起。围绕环形舱C有一条障碍赛跑道,每次跑到接合处,玛雅都要放慢脚步,绷紧腿部肌肉,以应对由呈22.5度弯角接缝造成的额外压力。跑过接缝处后,她忽然就能一眼望穿下一个圆柱体了。整个世界似乎都变得狭窄逼仄了。
与此相对的是,飞船内部的众人因此被衬托得更大了。人们渐渐摘下了在南极时戴上的面具。每当有人显露出以前从未展现过的特质时,观察到其变化的人都感觉更自由了。这种自由使得更多人主动展现出自己不为人知的特点。一个周日的早晨,舰上的十几位基督徒聚在一起,在气泡屋里庆祝复活节。地球上此时正是4月,不过 战神号 上已经是仲夏了。在复活节仪式结束后,一行人来到环形舱D的餐厅享用早午饭,包括尤里、拉雅、爱德华和玛丽这几位。玛雅、弗兰克、约翰、阿卡狄和赛克斯围坐在一张餐桌旁,喝着咖啡和茶。他们彼此之间或是和其他桌子上的人穿插着交谈。一开始只有玛雅和弗兰克听到了约翰对菲莉丝·波伊尔说的话。菲莉丝·波伊尔是地质学家,刚刚主持了复活节仪式。
“宇宙是一种超级存在,所有能量都是这个存在的思想,我理解这个想法。这是个很棒的概念。但是基督的故事……”约翰摇了摇头。
“你真的了解基督的故事吗?”菲莉丝问道。
“我在明尼苏达的一个马丁·路德教派的家庭里被抚养长大。”约翰不耐烦地回答说,“我参加了坚信礼
,被灌输了所有这一切。”
玛雅想,这大概是他不怕麻烦挑起这种讨论的原因。约翰脸上有一种不悦的表情,玛雅以前从未见过。她身体前倾,忽然开始全神贯注地听起了讨论。她瞄了一眼弗兰克,他正在凝视自己的咖啡杯,似乎陷入了遐想,但她非常肯定他正在听。
约翰说:“你肯定知道福音书都是在事件发生的几十年后写就的,写书的人从未见过基督本人。而且其他福音书还揭露了另一位基督。在公元3世纪时,这些福音书通过政治手段从《圣经》里被移除了。所以,基督其实是个文学形象,是个政治构建出来的角色。关于他本人我们一无所知。”
菲莉丝摇了摇头:“你说得不对。”
“但这就是真的。”约翰反驳道。他的话引得坐在旁边桌子边的赛克斯和阿卡狄看了过来。“看,这些东西都是有历史背景的。你会发现,一神论在早期游牧社会里非常常见。人们越是依赖牧羊,就越有可能信仰一位牧羊人的神。两者之间具有完全相关性,你如果仔细观察,就能轻易看出这一点。而且这位神总是男性,因为这些游牧社会都是父权制的。考古学、人类学——社会学中的宗教分支,已经将这些问题都研究得非常透彻了——宗教是如何产生的,以及需要它来达成什么目的。”
菲莉丝对他的论述回以微笑。“我不知道该说什么,约翰。毕竟这和历史无关。这关乎信仰。”
“你相信基督的奇迹吗?”
“奇迹本身并不重要。教堂和教义也不重要。重要的是耶稣本人。”
“但他只是一个文学构建的形象。”约翰固执地重复道,“就像是夏洛克·福尔摩斯,或是独行侠
。而且你也没回答我关于奇迹的问题。”
菲莉丝耸了耸肩。“我认为宇宙本身和其中所有一切存在都是奇迹。你能否认这一点吗?”
“当然。”约翰说,“宇宙本身就存在于这里,并非什么奇迹。我认为的奇迹是那种明显违背已知物理规律的行为。”
“比如旅行到其他星球?”
“不。比如起死回生。”
“医生每天都在做这件事。”
“医生从未这么做过。”
菲莉丝看上去有点不知所措。“我不知道该怎么和你说,约翰。我有点惊讶。我们并非无所不知,假装无所不知只会显示出我们的自大。宇宙的起源很神秘,起个名字叫‘大爆炸’,就自认为有了个解释——这是很糟糕的逻辑,很糟糕的思维方式。在你的理性科学思维之外还有广阔的意识领域,一个比科学更重要的领域。对上帝的信仰就在其中。我认为一个人要么有信仰,要么没有。”她站起身,“我希望你能拥有。”她离开了屋子。
一片沉默之后,约翰叹了口气。“不好意思,大伙儿。有时候我就是忍不住。”
“每当有科学家声称自己是基督徒的时候,”赛克斯说,“我都默认这仅仅是一种艺术声明。”
“他们都属于‘如果这么想的话也不错’教会。”弗兰克说。他依然在盯着自己的杯子。
赛克斯说:“他们觉得咱们缺失了老一辈人拥有的生命中很重要的心灵维度。他们试图通过同样的方式再次获得它。”他用他独有的方式,像猫头鹰似的眨了眨眼,仿佛定义了问题就已经解决了问题。
“但是这带来了太多荒谬事!”约翰喊道。
“你就是没有信仰。”弗兰克在旁边煽风点火。
约翰无视了他。“实验室里的人都非常固执——你们该去看看菲莉丝是如何质问她的同事根据数据得出的结论的!突然之间他们都开始运用各种各样的辩论技巧,逃避问题、质疑资格、模糊思维等。就好像他们完全变成了不同的人。”
“你就是没有信仰!”弗兰克重复道。
“那我希望我永远不会有!拥有信仰后简直像是被锤子砸中了头!”
约翰站起身,将餐盘放回厨房。其他人在沉默中面面相觑。玛雅想,他经历的坚信礼肯定非常糟糕吧。很显然其他人也和她一样,第一次了解到他们这位随和的英雄的这一面。谁能猜到接下来他们还会对约翰或是其他任何人有什么了解呢?
约翰和菲莉丝之间的争论很快就在船员之间传开了。玛雅不知道是谁在散布这件事——约翰和菲莉丝都不像是会谈论此事的人。然后她看到弗兰克和博子走在一起,弗兰克跟她说了些什么,她大笑起来。路过他们时,她听到博子说:“你得承认菲莉丝有几句说的是对的——对于某些事为何会发生,我们一无所知。”
看来是弗兰克埋下了菲莉丝与约翰不和的种子。而且不容忽视的是,基督教仍是美国内部的一股主要势力,在美国以外的很多地方也是如此。如果消息传回地球,人们听说约翰·布恩反对基督教,那他一定会有麻烦。这对弗兰克而言并非坏事。飞船上的每个人都在地球有一定的媒体曝光度,但如果仔细收看新闻和专题报道就会发现,有些人明显得到了比其他人多的曝光,因此也显得更有权势。通过结盟,他们也的确变得更有权势了。这些人当中有弗拉德和厄休拉(玛雅怀疑现在他们两人的关系已经超越了友情)、弗兰克和赛克斯——他们在选拔之前就已经广为人知了,当然他们都没有约翰名气大。所以,任何人在地球方面受到的负面评价,都会影响其在 战神号 上的地位。无论如何,这似乎就是弗兰克的处事原则。
***
众人仿佛被关在一个没有出口甚至没有阳台的酒店内部。酒店生活的压抑感越来越强烈。他们已经被关了4个月,但旅程还没有过半。无论是精心设计的环境,还是每天紧锣密鼓的日程,都无法令行程加速。
某天早晨,第二飞行团队正在进行阿卡狄的突发模拟训练,突然,好几个屏幕上同时闪起了红灯。
“太阳监测仪探测到了太阳耀斑。”拉雅说。
阿卡狄赶紧站起来。“这不是我干的!”他边喊边探过身子,去看离他最近的屏幕。他抬起头,看到同事们向他投来的疑惑的目光,笑了。“不好意思朋友们,狼真的来了。”
休斯敦发来的紧急消息证实了他的话。有可能连这个也是阿卡狄伪造出来的,不过他迅速奔向了最近的辐条。其他人毫无办法,无论是不是真的,所有人必须听从指示。
实际上,大家早就在训练中模拟应对过很多次太阳耀斑造成的突发状况了。每个人都肩负任务,不少任务要在短时间内完成。于是众人在环形舱里跑来跑去,咒骂着自己的霉运,同时尽量避免挡道。应对危机很复杂,得完成很多任务,且无法自动化。珍妮特一边将装满植物的托盘架拽到大棚里,一边喊道:“这是不是阿卡狄的模拟训练?”
“他说不是!”
“该死。”
战神号 离开地球,正是太阳黑子11年活跃周期的低潮期。选择此时出发正是为了降低遭遇太阳耀斑的概率,然而它还是发生了。在第一波辐射到来前,众人只有大约半小时应对。这之后1小时内,他们就会遇上真正的麻烦。
太空里的紧急事件有可能像爆炸那样明显,也可能像某个方程式那样难以察觉。不过是否明显与其危险程度毫无关系。船员们永远无法感知接近他们的亚原子风暴,尽管这是可能发生的最糟糕的状况之一,每个人对此都心知肚明。大家在环形舱内穿梭着,尽快完成自己负责的危机应对任务:植物必须被遮蔽或是移到安全区域;鸡、猪、迷你牛、鸟以及其他动物必须被赶回各自的避难所里;种子和冷冻胚胎必须被收集起来,随身携带;敏感电子设备必须被装到箱子里或随身携带。大家完成这些紧急任务后,便以最快的速度爬过辐条,冲进中轴,通过管道飘到位于飞船尾部的风暴避难所里。
博子和她率领的生态圈团队是最后到达的。他们在第一声警报响起整整27分钟后才咣咣咣地撞开舱门,猛冲进失重空间。每个人都满脸通红,上气不接下气。“开始了吗?”
“还没有。”
大家取出用尼龙贴粘着的个人用放射量测定器,将之固定在衣服上。剩下的船员们飘在这个半圆柱体的房间里,大口大口地呼吸着,同时对一些擦伤和扭伤进行紧急处理。玛雅下令报数。当听到100且没有任何遗漏的数字时,她松了一口气。
房间里感觉很挤。这100人已经好几个星期没有聚集在同一个地方了;即使是最大的房间,似乎也不够大。这个房间占据了轮毂中部的一个油箱,环绕在它一周的4个油箱里都是水。船员们所在的油箱被纵向分成了两半,他们对面的半圆柱体里填满了重金属。半圆柱体平坦的截面就是“地板”,镶嵌进了油箱内部的转轴上,以和飞船相反的方向转动,来抵消飞船的旋转;同时保证另外一半圆柱体始终遮蔽在船员们和太阳之间。
总之,众人飘浮在一个相对不旋转的空间里,但油箱侧面弯曲的天花板还是以惯常的每分钟4圈的转速围绕他们旋转。这真是一幕奇怪的景象,再加上失重感,导致有些人看上去似乎正在沉思着,其实是晕船的前兆。这些眩晕的可怜人聚集在避难所后方的厕所附近。为了减轻视觉上的不适,其他人都踩在地板上,辐射因此会从他们的脚下传来,其中的绝大多数是会被重金属散射的伽马射线。玛雅有一股必须把膝盖并紧的冲动。人们要么飘在空中,要么穿上尼龙搭扣鞋,在地板上走路。他们低声交谈,本能地寻找自己的邻居、工作伙伴、朋友。所有对话都是窃窃私语,气氛仿佛鸡尾酒会上突然被告知开胃菜被污染了一般。
约翰·布恩
嘶啦嘶啦
地走到房间前方的电脑终端处。阿卡狄和阿历克斯正在这里监测飞船的状况。约翰输入了一行命令,外部辐射数据突然出现在了房间里最大的屏幕上。“让我们看看飞船正在遭受多大的辐射。”他轻快地说。
周围哀声一片。“我们必须看吗?”厄休拉喊道。
“无论如何,我们还是知道为好。”约翰说,“而且我想知道这个避难所起了多大作用。 锈鹰号 上的避难所起到的作用也就和你去看牙医时围的那个铅围嘴差不多。”
玛雅笑了。约翰很少提起,但他本人接受过的辐射比这里的任何人都要多——至今大约160雷姆。正好有人问了他这个问题。在地球上,一个人每年大约会吸收1/5 雷姆 的辐射;绕地球环行时仍处于地球磁层的保护范围,每年的吸收量会达到约35雷姆。约翰接受了太多的辐射,这不知怎么就给了他在此时此刻任意查看外部辐射数据的权利。
那些对此感兴趣的人——大约有60个——挤在他身后盯着屏幕看。其余的人则走到了油箱后方,和那些犯了晕动病的人聚在一起。他们都是不想知道自己正在接受多少辐射的人。仅仅是想到这个问题,某些人就头皮发麻。
紧接着,耀斑完全爆发了。外部辐射探测器的数值远超太阳风正常值,紧接着数字瞬间飙升。好几个旁观的人同时倒吸了一口凉气,其中还夹杂几声震惊的喊叫。
“看看避难所的保护层阻止了多少辐射。”约翰边说边检查自己衣服上别着的放射量测定器,“我这里显示只有0.3雷姆。”
0.3雷姆已经相当于好几个人看一辈子牙医受到的X射线辐射量总和了,不过风暴避难所外的辐射量早已达到了70雷姆的致死量,所以他们可以说得上逃过一劫。不过,想想那些正在穿过飞船其他部分的辐射量吧!数不清的粒子正在渗透飞船,和水原子以及他们收纳好的金属原子相互碰撞。亿万粒子在原子之间飞行游荡,再穿过人们身体内的原子,来无影去无踪,如同鬼魂一般。还有几千个粒子可能正在撞击他们的血肉之躯。大部分碰撞是无害的——但在几千个里面,完全可能有一两个(或三个?)粒子撞上某条染色体,使其错误地打结——完蛋了,肿瘤形成了。一开始,可能只是像个遗传之书本身的拼写错误。几十年后,除非受害者的DNA幸运地完成了自我修复,否则肿瘤不可避免地会增大,或多或少罢了。辐射对生命的影响也开始现形,很明显有别的东西在体内开花结果了——癌。最常见的是得白血病,而其最可能的结果,就是死亡。
所以,真的很难平静地面对仪器上显示的数字。1.4658雷姆,1.7861雷姆,1.9004雷姆。“像是里程表。”约翰平静地看着自己的测定器说。他双手握住一根栏杆,将身体前后拉扯,好像在进行等长运动
。弗兰克看到后问:“约翰,你究竟在搞什么?”
“躲避啊!”约翰说,他看到弗兰克皱了皱眉,便笑了,“你懂的——移动中的目标很难被打中!”
大家都因为他的动作笑了。看到正在面对的危险在屏幕上被如此精确地显示成数字、绘制成图表,大家都开始感觉没那么绝望了。这一点也不符合逻辑,但命名的能力可以让每个人都或多或少成了科学家。这是一群职业是科学家的科学家,其中还有很多宇航员,每个人都受训过,都明白可能会遇上这样的风暴。这些思维习惯慢慢地主导了他们的想法,紧急事件带来的惊慌失措随之消退了一些。他们逐渐接受了事态。
阿卡狄走到一台终端机前,播放了贝多芬的交响曲《田园》。他选择了第三乐章,描绘的是一场乡间舞会被突如其来的暴风雨打断的场景。他调高音量。众人纷纷飘到半圆柱形的空间内,听着贝多芬奏的“狂风暴雨”,突然间,他们感觉乐曲描绘的仿佛正是此时此刻经历的无声的太阳风和倾灌在身上的粒子雨。简直一模一样!弦乐器和木管乐器在疾风中失控般地尖声作响,却又同时演奏出了美妙的旋律——玛雅激动得脊椎一阵战栗。她从未这么认真地听过这首名曲。她崇拜(也有点恐惧)地看向阿卡狄,他正在开心地跳舞,为自己完美的选曲带来的效果而欣喜若狂地大笑,仿佛一大团红色的打着结的蓬松绒毛在风中飘荡。随着交响曲中的暴风雨进入高潮,辐射指数难以置信地没有跟着提升;而当乐章中的风暴逐渐平息,似乎众人正在经历的风暴也要停止了。雷声渐息,最后一阵风呼啸而过。圆号发出一声长鸣,雨霁天晴。
人们开始聊起别的事情,谈论当天突然被打断的各项事务,或趁这个机会聊些有的没的。大约半小时后,某个对话的声音变得非常大。玛雅没听到对话是怎么开始的,但阿卡狄突然大声地用英语吼道:“我认为我们应该无视任何地球给我们制订的计划!”
其他对话都戛然而止了,所有人都转头看向他。他一跃而起,飘浮在房间旋转的天花板上,在这里他可以环视所有人,像个疯狂的幽灵似的跟大家说话。
“我认为我们应该制订新的计划。”他说,“我认为我们应该现在就做。一切都应该推倒重建,新的计划里应该展示出我们自己的想法,应该囊括各个方面,甚至包括我们将要修建的第一批定居点。”
“为什么要自找麻烦?”玛雅问,她对他哗众取宠的做法非常厌恶,“现有的设计已经很不错了。”阿卡狄真的很烦人,他总要占据舞台中央的位置,而人们总要看向玛雅,仿佛她要对阿卡狄的所作所为负责,仿佛必须由她去阻止阿卡狄骚扰众人。
“建筑是一个社会的模板。”阿卡狄说。
“建筑只是提供房间而已。”赛克斯·罗索尔指出。
“但房间的样式足以表明占据这些房间的社会组织是什么样的。”阿卡狄环视四周,凝视着众人,迫使他们参与争论,“建筑的布局显示出了设计者设想的其内部应当起的作用。我们在航行刚开始时已经看到这一点了,那时俄罗斯人和美国人分别居住在环形舱D和B。你看,按照他们的设想,我们应该是两个独立的团队,在火星上也本应如此。建筑传达了价值,建筑本身有一定的‘语法’,而房间则是‘句子’。我不想让华盛顿或是莫斯科的人决定我该怎么生活,我已经受够了那种日子。”
“为什么你不喜欢第一批定居点的设计?”约翰好奇地问。
“因为房间是长方形的。”阿卡狄说,这引起了一阵哄笑,但他继续说道,“长方形,符合传统的设计!工作区和生活区隔开,仿佛工作并非生活的一部分。大部分生活区被划分成一个个单间,等级分明,领导得到的房间更大。”
“这难道不是为了方便他们办公吗?”赛克斯说。
“不,关键绝非工作。房间大小只取决于官职大小。要我说的话,这是非常典型的美国职场的传统思维模式。”
人群中传来几声抱怨。菲莉丝说:“我们真的要扯上政治吗,阿卡狄?”
“政治”这个词一出口,聚集在一起的听众立即四散开来。玛丽·敦克尔和其他几个人推搡着离开人群,向房间另一端走去。
“任何事都关乎政治。”阿卡狄朝着他们的后背说,“我们的征程更是如此。我们要创立新的社会,除了政治,还有什么能帮助我们呢?”
“我们是去建立一个科考站。”赛克斯说,“没必要牵扯太多政治吧。”
“上次我去火星的时候肯定是没牵扯到的。”约翰说。他若有所思地看向阿卡狄。
“肯定牵扯了。”阿卡狄说,“只不过之前更简单。当时所有的队员都是美国人,而且你参与的是短期任务,做的都是上级要求你完成的工作。但现在我们是一个国际性团队,是要去建立永久定居点。完全是两码事。”
渐渐地,人们纷纷从空中飘向对话的中心,想听得更清晰些。拉雅·希门尼斯说:“我对政治不感兴趣。”玛丽·敦克尔表示同意,在房间的另一头喊道:“我来这里是为了躲避很多东西,政治就是其中之一!”
好几个俄罗斯人同时回应道:“你这种观点也是一种政治立场!”诸如此类。阿历克斯喊道:“你们美国人想终结政治和历史,这样你们就可以一直生活在一个由你们主导的世界里了!”
几个美国人试图反驳,但阿历克斯的声音盖过了他们:“这是真的!整个世界在过去的30年里发生了天翻地覆的变化,每个国家都在审视自己的职责,做出巨大改变来解决问题——每个国家,除了美国。你们已经成了世界上最保守、最反动的国家。”
赛克斯说:“那些国家不得不改变,是因为它们之前故步自封、贫困潦倒。美国的系统比较有弹性,所以不需要这么剧烈的变化。我说美国方式更好,是因为它更平缓、更顺滑。它计划得更好。”
这个说法让阿历克斯顿了一下。在他停下来思索的时候,一直怀着莫大兴趣观察阿卡狄的约翰·布恩说:“说回定居点。要由你来设计的话,你会怎么做?”
阿卡狄说:“我还没想好——我们必须亲眼看到我们为建造定居点选的地方,在那里走一走,好好讨论一下。你们看,我倡议的是一个过程。不过大体上,我认为工作区和生活区应该尽可能地混在一起。我们的工作可不是朝九晚五地挣工资——工作将会成为我们的艺术创造、我们的整个人生。我们的工作成果将会共享给彼此,无须购买。而且新系统中不应该存在任何等级制度的苗头。我甚至不信任我们现在的领导系统。”他礼节性地向玛雅点了点头,“现在我们所有人都肩负同等的责任,我们的建筑应该显示出这一点。圆形设计是最好的——虽然建造起来很困难,但是保暖性很好。网格拱顶是个比较好的折中选择——不但容易建造,还可以象征我们之间的平等关系。至于内部,最好大部分都是开放式的。当然,每个人都应该有自己的房间,可以沿着边缘建造一圈,面朝内部的大片公共区域——”他拿起鼠标,在一台终端机的屏幕上画起了草图,“就这样。这就是用建筑语法表达的‘所有人都平等’。怎么样?”
“我们已经有好多预制好的小单元房了。”约翰说,“不知道能不能用得上。”
“如果我们想用的话,肯定能用上。”
“但这真的有必要吗?我是说,很明显咱们这里已经人人平等了。”
“真的明显吗?”阿卡狄尖锐地说,环视着四周,“如果弗兰克和玛雅下达命令,我们可以无视吗?如果休斯敦和拜科努尔下达命令,我们可以无视吗?”
“我觉得可以。”约翰温和地说。
弗兰克闻言瞪了他一眼。对话演变成了几个更小范围的讨论,很多人都有话要说,然而阿卡狄再次打断了他们。
“我们都是被各自的政府送来这里的,而 所有的 政府都有缺陷,大部分甚至糟糕透顶。这就是为什么纵观历史,到处都是一团糟。而现在,我们只能靠自己了。就我个人而言,我绝不打算墨守成规,重蹈地球的覆辙。我们可是第一个火星远征队!我们是 科学家 !我们的 工作 就是创新,发展新思想,创造新世界!”
人群中再次爆发了激烈的讨论,这次声音更大了。玛雅转过身低声咒骂阿卡狄,因越来越愤怒的众人而惴惴不安。她看到约翰·布恩微笑着。他蹬了一下地面,向阿卡狄飞过去,靠撞到对方停下来,然后和他握了握手。握手的动作使得双方在空中摆动起来,好像在跳某种奇怪的舞蹈。约翰·布恩支持的姿态立刻让众人重新开始思考,玛雅能从人们惊讶的表情上发觉这一点。约翰声名远扬的同时还因处事低调、谦逊温和而为人称道,如果连他都赞同阿卡狄的想法,那就确实是另一回事了。
“该死的,阿卡狄,”约翰说,“先是那些疯狂的突发状况模拟,现在又是这个——你可真是个疯狂的人,真是的!你究竟是怎么让他们允许你登船的?”
我也想问,玛雅想。
“靠撒谎。”阿卡狄说。
所有人都笑了,甚至弗兰克也笑了,还面带惊讶之色。“我当然得撒谎了!”阿卡狄叫道,他咧开嘴大笑,大红胡子被分成了两半,“否则我又有什么办法能来这里呢?我想登上火星,做我想做的事,但选拔委员会想选的是唯命是从的人。你们都懂的!”他向下指着众人喊道,“你们都撒了谎,你们心里一清二楚!”
弗兰克笑得更大声了。赛克斯依然保持着巴斯特·基顿
式的面瘫脸,他举起一根手指,说:“修订版明尼苏达多相人格测试。”众人纷纷附和,发出讥笑声。所有人都做了这项测试,这套问卷被广泛应用于测试被试的心理健康,为众多专家认可。测试的内容是对556条陈述进行表态,逐条表示同意或不同意。根据作答结果,每个人都会生成一幅心理画像。然而测试结果的衡量表却是根据20世纪30年代明尼苏达州2600名已婚中产阶级白人农民的回答来制订的。尽管经过多次修订,但因最早的测试样本造成的那些无处不在的偏差依然根深蒂固——至少有些人是这么认为的。“明尼苏达!”阿卡狄大叫,翻了个白眼,“农民!明尼苏达的农民!我跟你们实话实说吧,我每道题都撒了谎!每道题的回答都和我的真实想法
完全相反
,只有
这样做
评分系统才会认为我是个正常人!”
他的这番话引来了一阵阵热烈的欢呼声。“真见鬼。”约翰说,“我 就是 明尼苏达人,连我也不得不在测试中撒谎。”
欢呼声更大了。玛雅注意到,弗兰克笑得满脸通红,上气不接下气,用手按着肚子,一边点头一边哈哈大笑,根本停不下来。她从没见过他笑成这样。
赛克斯说:“所以是这个测试逼你撒了谎。”
“什么意思,你没有?”阿卡狄逼问他,“你难道没有撒谎吗?”
“嗯,没有。”赛克斯眨着眼睛,仿佛他以前从未有过这个想法,“我每道题都是如实回答的。”
众人笑得更大声了。赛克斯对他们的反应感到非常惊讶,反倒显得自己更好笑了。
有人喊道:“你呢,米歇尔?你要怎么为自己辩解?”
米歇尔·杜瓦摊开手。“你们大概低估了这项测试的复杂性,其中一部分问题就是在测你有多诚实。”
这句话引来了众人狂风暴雨般的问题,俨然是一场关于方法论的狂轰滥炸。对比参照物是什么?如何证实被试做了证伪?反复测试会怎样?如何根据数据排除其他可能的解释?测试陈述中用到的“ 任何 ”一词 究竟 如何能被科学统计?显然这里的很多人都认为心理学是伪科学,而且很多人都对必须付出巨大努力才能登船这件事心怀怨恨。长达数年的竞争和选拔损害了他们。大家发现彼此都对此事有同样的经历和看法,因此更滔滔不绝地讨论起来。由阿卡狄政治言论挑起的紧张氛围烟消云散了。
也许,玛雅想,阿卡狄是故意用一个话题来缓和另一个话题的。如果真的是这样,那他的手腕得高明点。不过阿卡狄的确是个聪明人。她又仔细回想了一遍,其实是约翰·布恩转换的话题。他飞到天花板附近去“解救”阿卡狄,阿卡狄也抓住了机会。他俩都是聪明人。看来他们很可能已经私下谋划过。也许,他们正在成立另一个领导团队,由一名美国人和一名俄罗斯人主导。必须对此做点什么了。
她对米歇尔说:“我们每个人都承认自己说了谎,这是不是很糟糕?”
米歇尔耸耸肩。“能开诚布公地一起讨论非常好。现在我们都意识到,我们比我们自己想的还要相似。这样一来,就不会有人觉得自己是撒了弥天大谎才得以登船的了。”
“你呢?”阿卡狄问,“你是不是一直在扮演着最理性、最客观公正的心理学家的角色?你是不是把你奇奇怪怪的想法都藏起来了?其实我们都迫不及待地想要了解你的怪奇想法,并且肯定会爱上它们的。”
米歇尔微微笑了一下。“你可真是怪奇想法的专家,阿卡狄。”
有几个一直在看着显示屏的人突然喊了起来——辐射值开始回落了。过了一会儿,数值终于降到了只比平常稍高一点的水平。
有人把《田园》调回了圆号一吹雨霁天晴的那段。这部交响曲的最后一个乐章,“暴风雨过后快乐和感激的心情”
从音响系统里传来,众人纷纷离开避难所,像微风中的蒲公英一样在飞船内散开。古老而优美的乡村旋律传遍了
战神号
,让这艘飞船散发着一股布鲁克纳
的气质。在这样的背景音乐下,人们发现加固过的飞船系统完好无损。农场和生态区的加厚墙给植被提供了一定的保护。尽管有大面积死亡的植物,但储备的种子完好无损。飞船上的动物大概也无法食用了,但估计可以生下健康的下一代。唯一的伤亡是环形舱D的餐厅里没来得及抓住的鸟,地板上散落着好几只鸟的尸体。
至于船员们,在避难所的保护下,他们仅接受了6雷姆的辐射。仅3小时就接受了这么多辐射的确很糟糕,不过情况本来可能会更糟的。飞船外侧受到的辐射量高达140雷姆,足以致死。
***
整整6个月,众人都待在“酒店”内部,没有任何外出散步的机会。飞船内现在是夏末时节,白昼非常长。墙壁和天花板上到处都是绿色植被。每个人都光着脚。在机械设备和通风设施的嗡鸣下,交谈声几不可闻。飞船显得空空荡荡的,很大一部分闲置了,船员们都安顿下来静静等待。一些人在环形舱B和D的大厅里三五成群地聊着天。有些人一看到玛雅走近,就立即停止交谈,这自然令她深感困扰。她难以入睡,也难以醒来。工作令她心神不宁:毕竟,所有的工程师都仅仅是在待命,而那些模拟训练简直快要令人无法忍受。她很难感受到时间的流逝。她比以前更常跌倒。她去找弗拉德看了看,弗拉德建议她多补充水分,多跑步、游泳。
博子建议她在农场里多待待。她尝试了一下,花上好几小时拔除野草、采摘果实、修剪树枝、施肥浇水、与人交谈、坐在长椅上望着树叶发呆。农场占的空间是飞船上最大的,椭圆形的房顶上装有一排排明亮的太阳板。多层种植架上挤满了农作物,很多都是太阳耀斑席卷之后才种的。农场的空间不够大,仅凭这里种植的农作物是无法喂饱全部船员的。博子讨厌这样,并很努力地改善现状。她把好几间腾空了的储物室都改成了农场。多层种植架的托盘里长满了矮种小麦、水稻、大豆和大麦。托盘上方挂了好多排水培蔬菜,以及一些巨大的装满了绿藻和黄藻的透明罐子,它们的作用是调节这里的气体交换。
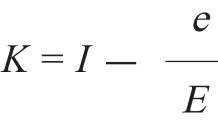
有些日子,玛雅只是无所事事地看着农业团队在农场里工作。博子和她的助手岩雄总是对生态圈生命保障系统进行永无止境的修补工作,以达到其封闭度的最大化。还有一群人也会定期来帮忙:拉尔、拉雅、吉恩、叶芙根妮娅、安德莉亚、罗杰、艾伦、鲍勃和泰莎。封闭的成功与否可以用 K 来衡量, K 表示封闭度本身。于是,对于每个回收的物质而言,有:
其中, E 表示系统消耗率; e 表示(未完成的)封闭率;而 I 是一个常量,博子在她职业生涯的早年已经计算出了一个准确的数值。 K = I -1的目标是无法实现的,但如何尽可能地接近这个值是每一位农业生物学家最喜欢研究的课题。更重要的是,这也关系到众人最终在火星上的生存状况。相关的讨论可以持续数日,其复杂程度呈螺旋式上升,以至于没人能真正理解。事实上,农业团队已经着手进行真正的工作了。玛雅非常嫉妒他们,她已经受够模拟训练了!
在玛雅看来,博子是个谜。她冷漠超脱而又严肃认真,似乎永远忙于工作。她的团队也一直围着她转,就好像她是某个国度的女王,和飞船上其他任何事物都毫无关系。玛雅不喜欢这样,但她也改变不了什么。而且博子处事态度中的某些东西让她显得不那么具有威胁性。农场的确是个独立的地方,这里的工作人员处于一个独立的小社会里,事实就是如此。不管怎样,玛雅有机会利用农业团队来制衡阿卡狄和约翰,所以她并没有很担心他们形成的独立“国度”。实际上,她比过去更融入他们了。有时候她会在工作告一段落后跟他们一起去轮毂,玩他们发明的游戏——“跳管道”。沿着轮毂有一个可以跳进去的管道,构成它的所有圆柱体之间的接合处都被扩张成和圆柱体本身一样的宽度,因而形成了一个非常平滑的管道。管道周围有栏杆,方便船员们沿着管道快速前后移动。在跳管道游戏里,参赛者要站在风暴避难所的舱门口跳进管道,一路飞到气泡屋的舱门前,全程500米都不能触碰管道壁或栏杆。由于科里奥利力
的存在,飞完全程几乎不可能,飞到半程就能算赢了。但是有一天,博子要去气泡屋检查实验农作物。她正好路过,和大家打完招呼之后,便在避难所舱门上蹲下,纵身跳进管道,只见她慢慢地飘过了整条管道,边飞边旋转身体,最终伸出一只手,碰到气泡屋舱门,停了下来。
所有参与游戏的人都沉默地抬头沿管道望上去,一脸震惊。
“嘿!”拉雅对博子喊道,“你怎么做到的?”
“做到什么?”
大家给她解释了一遍游戏规则。她笑了。玛雅突然意识到她肯定早就知道规则。“所以你是怎么做到的?”拉雅又问了一遍。
“跳直一点!”博子说完,消失在了气泡屋一边。
当天吃晚饭时,这个故事在饭桌上流传开来。弗兰克对博子说:“说不定你就是撞大运了。”
博子笑了。“不如咱俩各跳20次,看看谁能赢。”
“好啊。”
“咱们赌什么?”
“当然是赌钱。”
博子摇了摇头。“你真的觉得钱在这里还有什么意义吗?”
几天之后,玛雅和弗兰克、约翰一起飘浮在气泡屋的拱顶下。三人看向前方的火星,现在的火星呈凸月形,看上去像是个10美分硬币大小的圆球。
“最近有好多争论。”约翰很随意地说,“我听说阿历克斯和玛丽真的打起来了。米歇尔说这一点也不意外,但还是……”
“也许我们这里有太多位领导了。”玛雅说。
“也许你该当唯一的领导。”弗兰克嘲讽道。
“太多管理岗?”约翰说。
弗兰克摇了摇头。“不是这个问题。”
“不是?船上可是有很多明星呢。”
“想要超越他人的欲望和想要领导他人的欲望是不一样的。有时候我感觉这两种想法完全相反。”
“那我把这个判断留给你吧,船长。”约翰笑着看向一脸阴沉的弗兰克。玛雅想,约翰可能是他们之中唯一轻松的人了。
“心理学家早就看出了问题。”弗兰克继续说,“问题已经明显到甚至连心理学家都能轻易看出了。他们用了哈佛方法。”
“哈佛方法。”约翰重复了一遍,回味这个词。
“很久之前,哈佛大学的管理者发现,如果他们只接收成绩全A的高中生,那么在第一学年里得到D和F评分的学生就会闷闷不乐,无法接受,继而在哈佛园里大闹一番,更有甚者哭闹着要开枪自尽。”
“不应该这样。”约翰说。
玛雅翻了个白眼。“你们俩去的肯定是专科学校吧?”
“管理人员发现,避免这些不愉快的秘诀是,录取一些成绩平庸但是在其他方面异于常人的学生——”
“比如有胆量拿着平庸的成绩单去申请哈佛的学生?”
“这些学生以前成绩垫底,所以能上哈佛就会乐开花。”
“你是怎么知道这件事的?”玛雅问。
弗兰克笑了。“我就是进入哈佛的平庸的学生之一。”
“我们这艘飞船上可没有平庸的人。”约翰说。
弗兰克看上去有点犹豫。“我们的飞船上的确有很多杰出的科学家,但他们都没有兴趣来管理事务。很多人都觉得无聊。行政工作,你懂的。他们很高兴能把这件事交给咱们这样的人。”
“贝塔男
。”约翰说,嘲讽着弗兰克以及他对社会生物学的兴趣,“优秀的绵羊。”这是他们互相打趣的方式。
“你错了。”玛雅对弗兰克说。
“可能吧。总之,他们是同心同德的政体
,至少可以追随领导者。”他的语气听上去好像对此很失望。
约翰要去舰桥执行别的任务,所以先行一步离开了。
弗兰克飘到玛雅身旁,玛雅紧张地转过身。他们好一阵子都没讨论过彼此之间短暂的风流韵事了。其实倒也不必提起,即使是隐晦地提起也没有必要。她想过如果这件事被提起时她该这么说:自己偶尔会这样和她喜欢的男人共度春宵。她会说那只是一时兴起。
然而,弗兰克只是指着天空中的那个红点说:“我在想我们为什么要去那里。”
玛雅耸了耸肩。他想说的大概不是 我们 为什么要去,而是 我 为什么要去。“每个人都有自己的理由。”她说。
弗兰克瞥了她一眼。“说得可真对啊。”
玛雅无视了他话里的讽刺。“也许是我们的基因在起作用。”她说,“也许是本能地觉得地球上的一切都开始变糟了,想要加快突变的速度,诸如此类。”
“所以是基因想要重新开始。”
“对。”
“自私的基因理论。智力只是用来帮助繁殖的工具。”
“大概吧。”
“但这趟旅程本身也会对成功繁殖造成威胁。”弗兰克说,“外面可不安全。”
“可是地球上同样不安全。垃圾、辐射、人心叵测……”
弗兰克摇了摇头。“不。我不认为基因是自私的。自私栖居在别处。”他伸出食指,戳了一下她的胸口——力道很重地按在胸骨上。反作用力令他飘回地板上。在这个过程中,他一直看着玛雅,然后将手按到了自己的胸口处。“晚安,玛雅。”
***
一两周后的某天,玛雅去农场里收卷心菜。她走过一排种满卷心菜的托盘中间的过道。周围没有人,她独享整个空间。卷心菜看上去像是一排排大脑,在明亮的午后阳光里勃发着思想。
突然,她瞄到了有什么东西在移动,赶紧看向侧面。在房间对面,透过一个水藻瓶子,她看到了一张脸。玻璃瓶扭曲了眼前的景象:那是一张棕皮肤的男人的脸。男人看向一旁,没有注意到她,似乎在和谁聊天。她看不到聊天对象是谁。男人移动了身体,脸变得清晰了,而且被玻璃瓶中部放大了。她突然明白过来自己为什么会这么认真地看着他,为什么胃部突然揪紧了:因为她从未见过这个人。
他转过身看向她。他们的目光隔着两层球形玻璃相遇了。他是个陌生人,脸颊消瘦,眼睛很大。
那团棕色消失了。玛雅犹豫了一下,不敢上前去追他。但紧接着,她鼓起勇气跑过整个房间,越过两个管道接合处,进入下一个圆柱体内。里面空无一人。她又接连跑过3个圆柱体才停了下来。她站在原地,望着番茄藤蔓,呼吸非常沉重。她大汗淋漓,却感觉很冷。一个陌生人。这不可能。但是她的确看到他了!她集中注意力回忆,试图想起那张脸。也许他是……不,他不是100人中的任何一人,她心知肚明。人脸识别是大脑最厉害的能力,其准确度令人难以置信。而且,那人一遇上她的目光就跑了。
难道是一个偷渡者?不可能啊!他藏在哪里?在什么地方生活?太阳耀斑爆发时他是怎么活下来的?
难道说,她已经开始产生幻觉了?真的已经这么严重了吗?
她往自己的房间走去,感觉恶心反胃。环形舱D的走廊虽然有照明系统,却不知为何有些昏暗。她后颈发麻。当门出现在眼前时,她立马冲进了自己的安全小屋里。但她的房间也不过只有一张床、一张茶几、一把椅子、一个柜子和一些架子。她在屋里坐了1小时,又坐了2小时。但在屋里她无事可做。没有答案,没有吸引她注意力的东西,没有逃离的方法。


